🇳🇴 🇬🇧 🇩🇪 🇨🇿 🇫🇮

Meteor Bruflatin yllä 2022-10-18 22:58:43 UTC

KML-tiedosto  |  Interaktiivinen kartta

Kartta näyttää meteorin suuntahavainnot. Vaaleammat viivat näyttävät suunnat havaintoasemilta meteorin ilmestyessä, ja tummemmat viivat näyttävät, missä se viimeksi nähtiin. Sininen nuoli näyttää meteorin näkyvän lennon.

static map
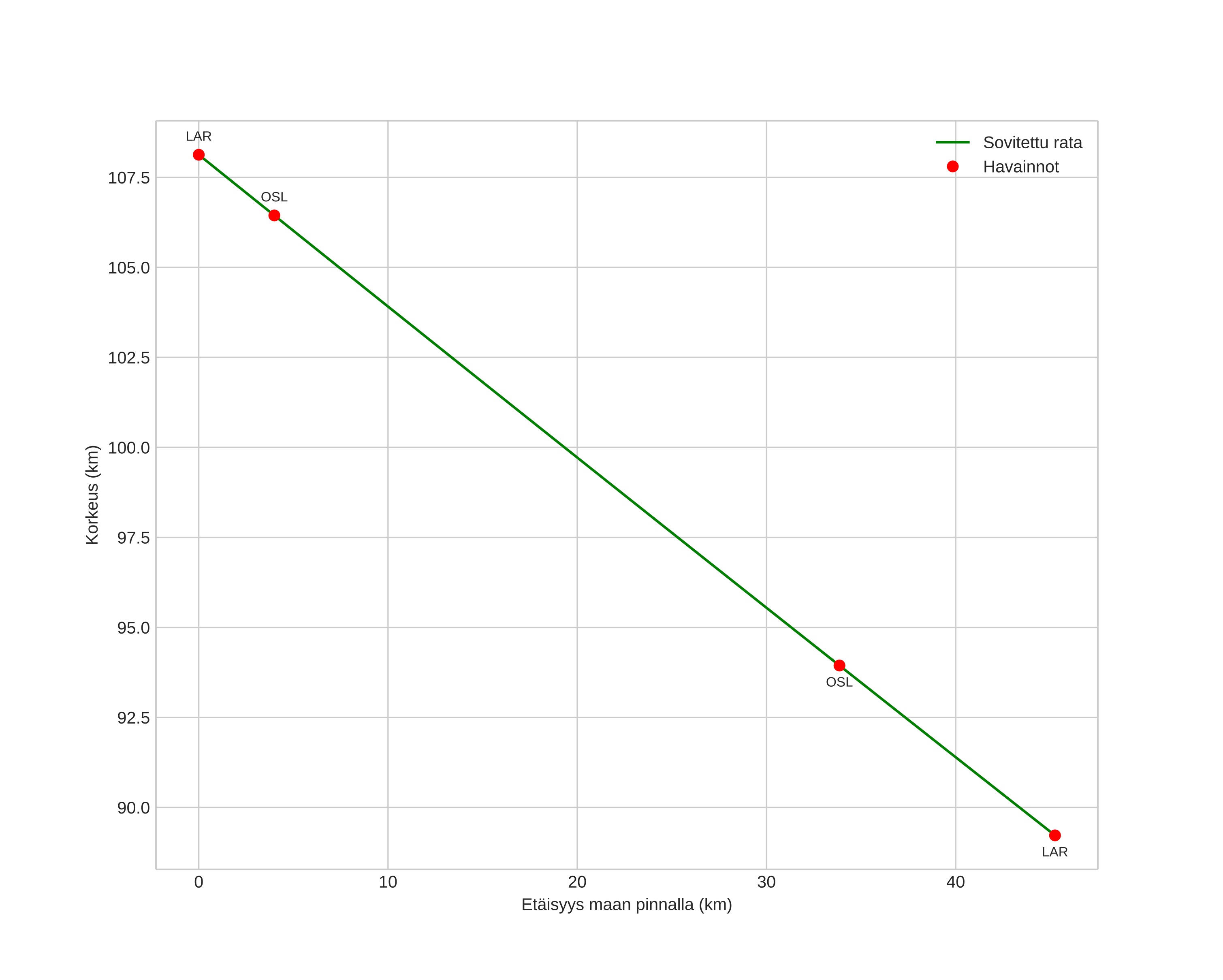
height profile
Meteorin ilmakehärata:
Alkukorkeus: 108,1 km
Loppukorkeus: 89,1 km
Alkupiste: 60,611N 10,555E
Loppupiste: 60,685N 9,734E
Suunta: 280,8°
Kallistuskulma: 22,7°
Tulonopeus: 65,4 km/s
Radiantin R,A,: 06:07 (91,9°)
Radiantin Dekl,: 14,1°
Meteoriparvi: Orionidit
Meteoroidin rataelementit:
Perihelietäisyys: 0,543 AU
Eksentrisyys: 0,867
Inklinaatio: 159,7°
Nousevan solmun pituus: 25,2°
Perihelin argumentti: 88,8°
Keskianomalia: 355,0°
Epookki: 2022 OCT 18 22:58:43
orbit plot

Ei-interaktiivinen kuvaaja | Interaktiivinen kuvaaja

position vs time
speed and acceleration