🇳🇴 🇬🇧 🇩🇪 🇨🇿 🇫🇮

Meteor, poloha: Hansnes 2022-10-19 20:27:29 UTC

Soubor KML  |  InteraktivnĂ­ mapa

Mapa zobrazuje dráhy meteoru. Světlejší čáry ukazují směry od pozorovacích stanic při objevení se meteoru a tmavší čáry, kde byl naposledy viděn. Modrá šipka značí viditelnou dráhu meteoru.

static map
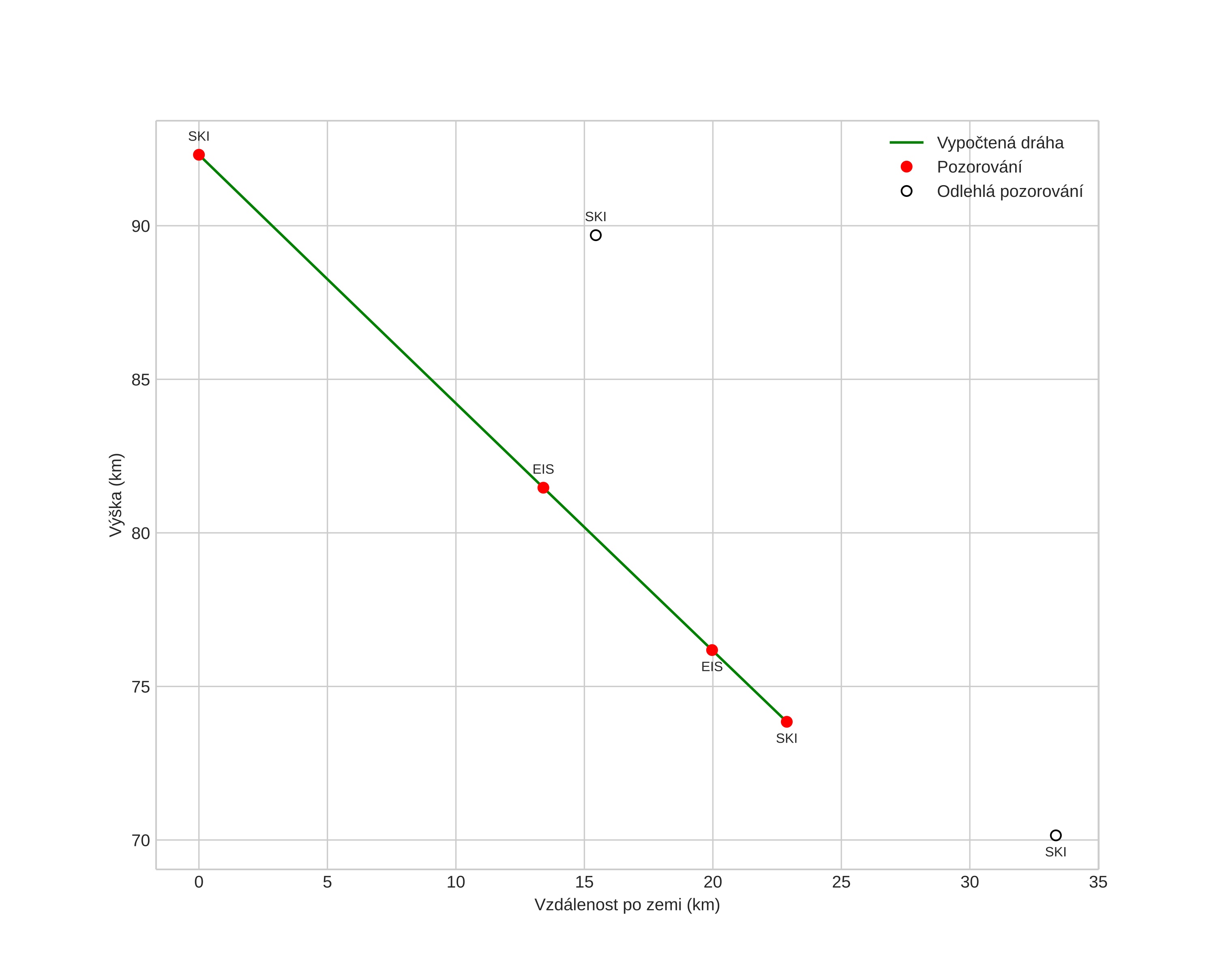
height profile
Atmosférická dráha meteoru:
Počáteční výška: 94,6 km
Konečná výška: 72,0 km
Počáteční poloha: 69,544N 20,144E
Konečná poloha: 69,658N 19,642E
Směr: 303,5°
Sklon: 44,2°
VstupnĂ­ rychlost: 36,0 km/s
Rektascenze radiantu: 02:37 (39,3°)
Deklinace radiantu: 29,8°
MeteorickĂ˝ roj: sporadickĂ˝
Elementy dráhy meteoroidu:
Vzdálenost v periheliu: 0,239 AU
Excentricita: 0,899
Sklon dráhy: 23,7°
Délka vzestupného uzlu: 206,1°
Argument perihelia: 307,2°
Střední anomálie: 349,6°
Epocha: 2022 OCT 19 20:27:29
orbit plot

NeinteraktivnĂ­ graf | InteraktivnĂ­ graf

position vs time
speed and acceleration