🇳🇴 🇬🇧 🇩🇪 🇨🇿 🇫🇮

Meteor Hansnesin yllä 2022-10-19 20:27:29 UTC

KML-tiedosto  |  Interaktiivinen kartta

Kartta näyttää meteorin suuntahavainnot. Vaaleammat viivat näyttävät suunnat havaintoasemilta meteorin ilmestyessä, ja tummemmat viivat näyttävät, missä se viimeksi nähtiin. Sininen nuoli näyttää meteorin näkyvän lennon.

static map
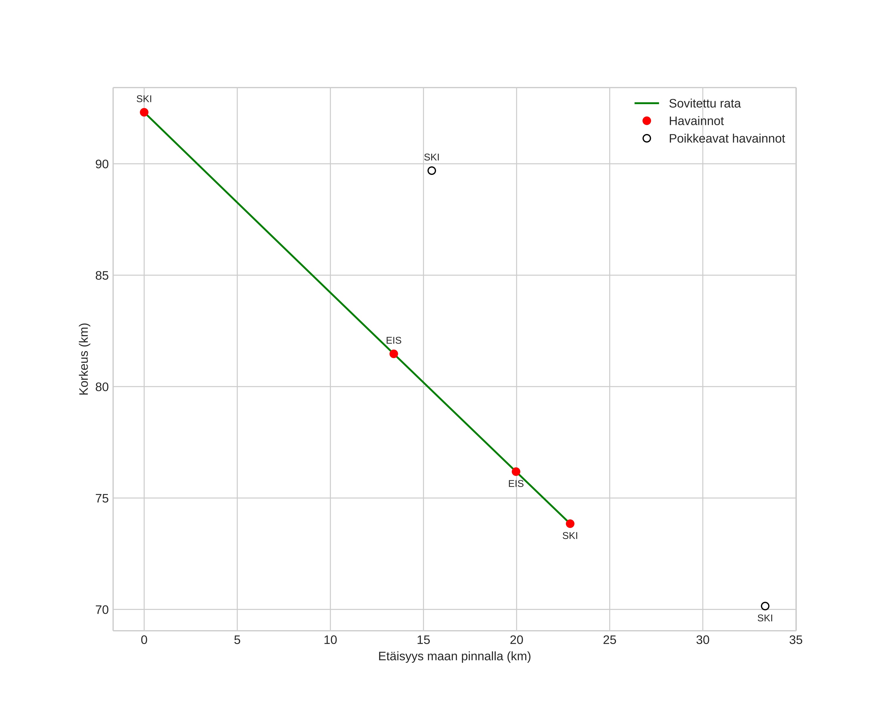
height profile
Meteorin ilmakehärata:
Alkukorkeus: 94,6 km
Loppukorkeus: 72,0 km
Alkupiste: 69,544N 20,144E
Loppupiste: 69,658N 19,642E
Suunta: 303,5°
Kallistuskulma: 44,2°
Tulonopeus: 36,0 km/s
Radiantin R,A,: 02:37 (39,3°)
Radiantin Dekl,: 29,8°
Meteoriparvi: Sporadinen
Meteoroidin rataelementit:
Perihelietäisyys: 0,239 AU
Eksentrisyys: 0,899
Inklinaatio: 23,7°
Nousevan solmun pituus: 206,1°
Perihelin argumentti: 307,2°
Keskianomalia: 349,6°
Epookki: 2022 OCT 19 20:27:29
orbit plot

Ei-interaktiivinen kuvaaja | Interaktiivinen kuvaaja

position vs time
speed and acceleration