🇳🇴 🇬🇧 🇩🇪 🇨🇿 🇫🇮

Meteor, poloha: Arjeplog 2022-10-24 19:49:25 UTC

Soubor KML  |  InteraktivnĂ­ mapa

Mapa zobrazuje dráhy meteoru. Světlejší čáry ukazují směry od pozorovacích stanic při objevení se meteoru a tmavší čáry, kde byl naposledy viděn. Modrá šipka značí viditelnou dráhu meteoru.

static map
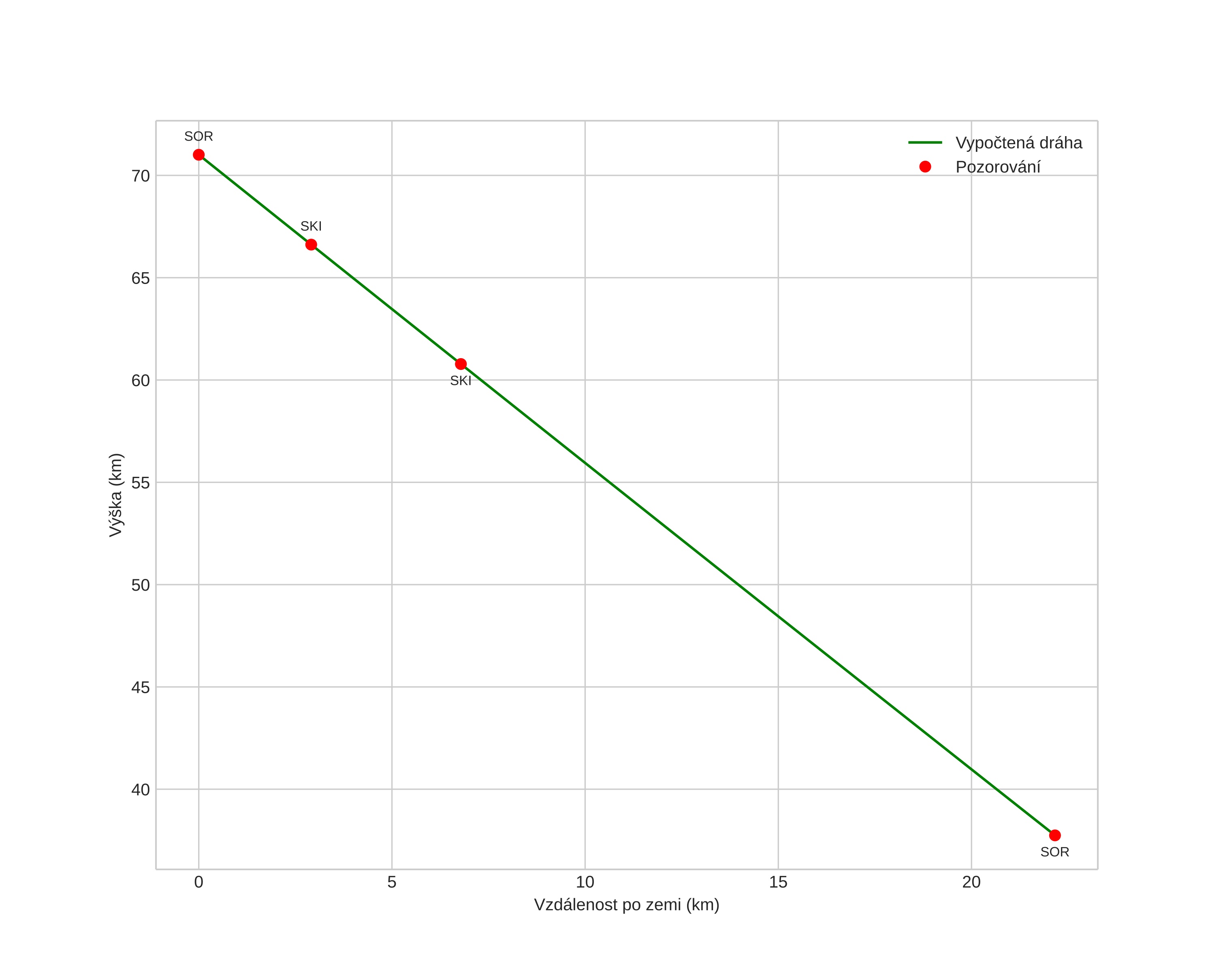
height profile
Atmosférická dráha meteoru:
Počáteční výška: 73,3 km
Konečná výška: 37,7 km
Počáteční poloha: 66,847N 17,429E
Konečná poloha: 67,103N 17,534E
Směr: 9,1°
Sklon: 51,1°
VstupnĂ­ rychlost: 22,2 km/s
Rektascenze radiantu: 22:41 (340,4°)
Deklinace radiantu: 25,0°
MeteorickĂ˝ roj: sporadickĂ˝
Elementy dráhy meteoroidu:
Vzdálenost v periheliu: 0,905 AU
Excentricita: 1,118
Sklon dráhy: 13,7°
Délka vzestupného uzlu: 211,1°
Argument perihelia: 214,0°
Střední anomálie: -1,0°
Epocha: 2022 OCT 24 19:49:25
orbit plot

NeinteraktivnĂ­ graf | InteraktivnĂ­ graf

position vs time
speed and acceleration