🇳🇴 🇬🇧 🇩🇪 🇨🇿 🇫🇮

Meteor Arjeplogin yllä 2022-10-24 19:49:25 UTC

KML-tiedosto  |  Interaktiivinen kartta

Kartta näyttää meteorin suuntahavainnot. Vaaleammat viivat näyttävät suunnat havaintoasemilta meteorin ilmestyessä, ja tummemmat viivat näyttävät, missä se viimeksi nähtiin. Sininen nuoli näyttää meteorin näkyvän lennon.

static map
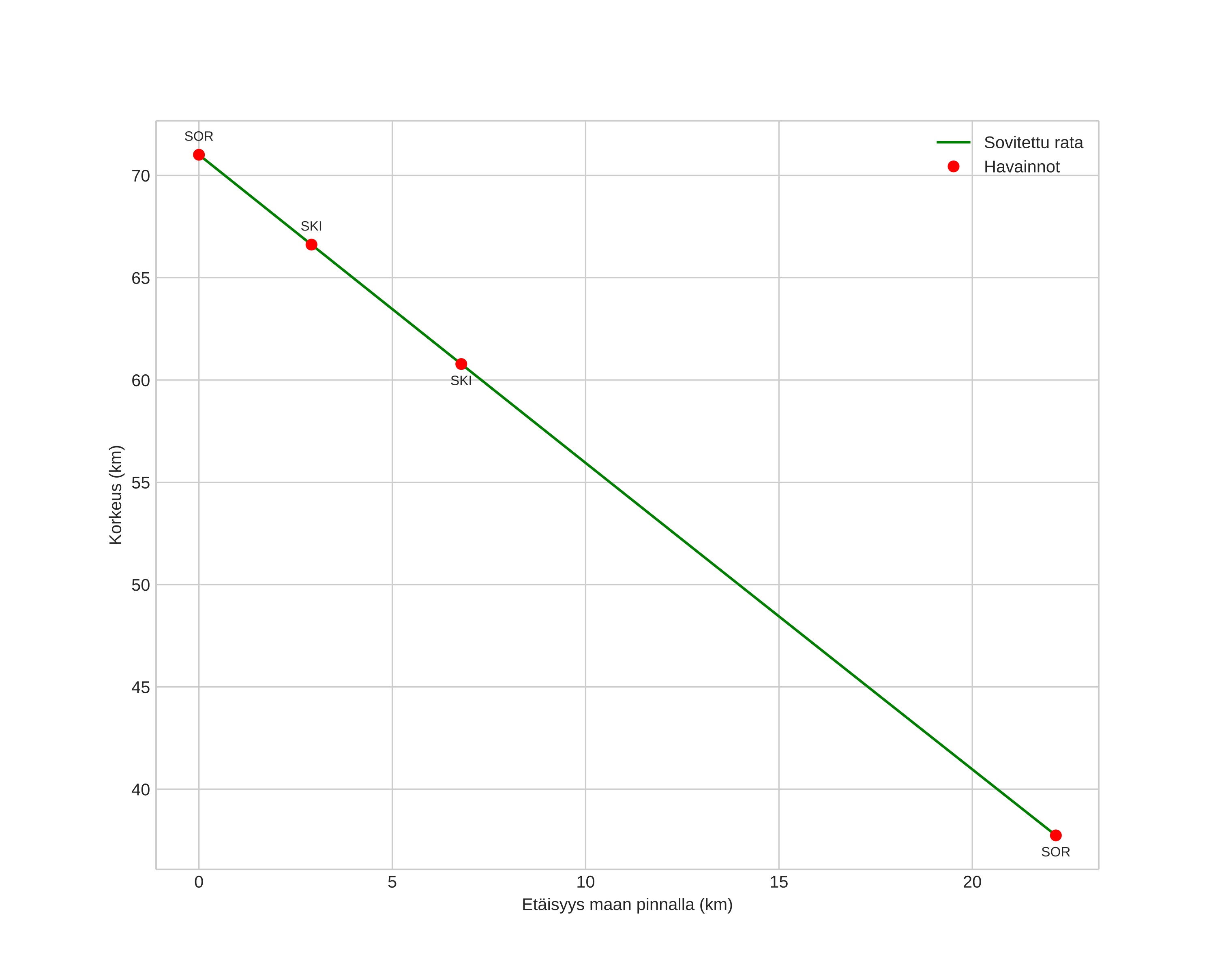
height profile
Meteorin ilmakehärata:
Alkukorkeus: 73,3 km
Loppukorkeus: 37,7 km
Alkupiste: 66,847N 17,429E
Loppupiste: 67,103N 17,534E
Suunta: 9,1°
Kallistuskulma: 51,1°
Tulonopeus: 22,2 km/s
Radiantin R,A,: 22:41 (340,4°)
Radiantin Dekl,: 25,0°
Meteoriparvi: Sporadinen
Meteoroidin rataelementit:
Perihelietäisyys: 0,905 AU
Eksentrisyys: 1,118
Inklinaatio: 13,7°
Nousevan solmun pituus: 211,1°
Perihelin argumentti: 214,0°
Keskianomalia: -1,0°
Epookki: 2022 OCT 24 19:49:25
orbit plot

Ei-interaktiivinen kuvaaja | Interaktiivinen kuvaaja

position vs time
speed and acceleration