🇳🇴 🇬🇧 🇩🇪 🇨🇿 🇫🇮

Meteor, poloha: Kiruna 2022-10-24 20:01:26 UTC

Soubor KML  |  InteraktivnĂ­ mapa

Mapa zobrazuje dráhy meteoru. Světlejší čáry ukazují směry od pozorovacích stanic při objevení se meteoru a tmavší čáry, kde byl naposledy viděn. Modrá šipka značí viditelnou dráhu meteoru.

static map
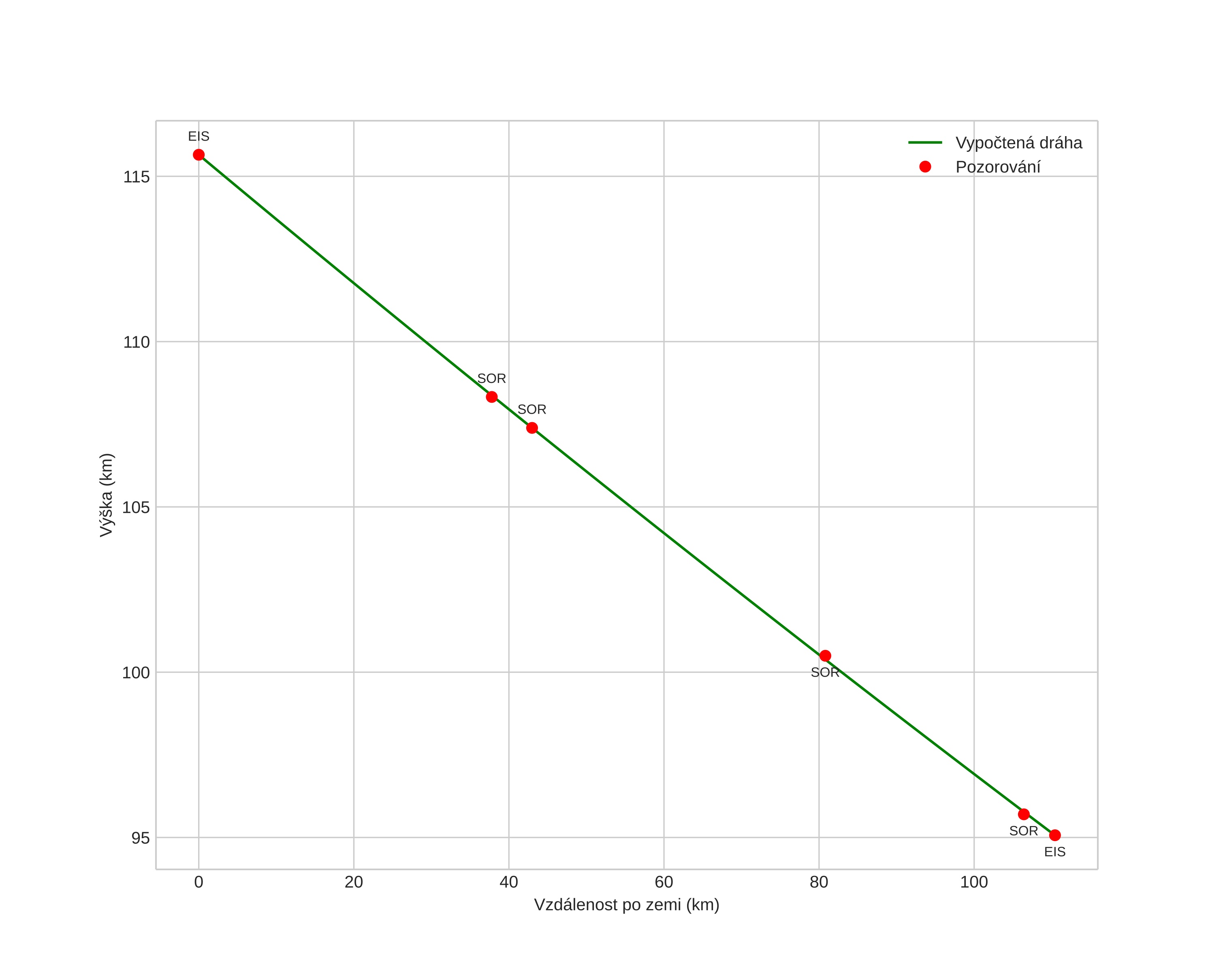
height profile
Atmosférická dráha meteoru:
Počáteční výška: 121,9 km
Konečná výška: 102,6 km
Počáteční poloha: 67,898N 22,677E
Konečná poloha: 67,559N 20,062E
Směr: 252,3°
Sklon: 9,4°
VstupnĂ­ rychlost: 71,5 km/s
Rektascenze radiantu: 06:36 (99,0°)
Deklinace radiantu: 14,8°
MeteorickĂ˝ roj: Orionidy
Elementy dráhy meteoroidu:
Vzdálenost v periheliu: 0,665 AU
Excentricita: 1,176
Sklon dráhy: 163,5°
Délka vzestupného uzlu: 31,1°
Argument perihelia: 67,3°
Střední anomálie: -4,5°
Epocha: 2022 OCT 24 20:01:26
orbit plot

NeinteraktivnĂ­ graf | InteraktivnĂ­ graf

position vs time
speed and acceleration