🇳🇴 🇬🇧 🇩🇪 🇨🇿 🇫🇮

Meteor Kirunan yllä 2022-10-24 20:01:26 UTC

KML-tiedosto  |  Interaktiivinen kartta

Kartta näyttää meteorin suuntahavainnot. Vaaleammat viivat näyttävät suunnat havaintoasemilta meteorin ilmestyessä, ja tummemmat viivat näyttävät, missä se viimeksi nähtiin. Sininen nuoli näyttää meteorin näkyvän lennon.

static map
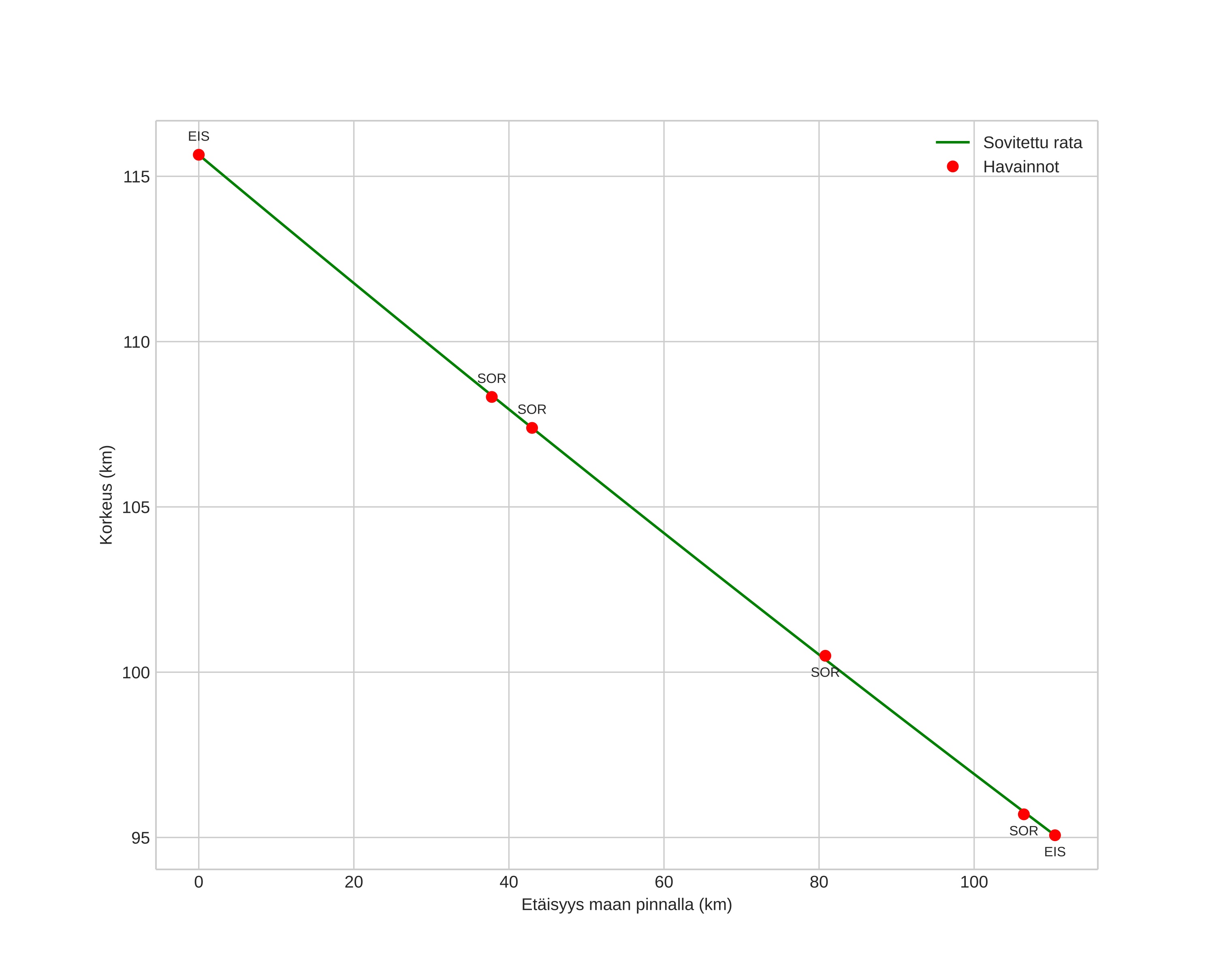
height profile
Meteorin ilmakehärata:
Alkukorkeus: 121,9 km
Loppukorkeus: 102,6 km
Alkupiste: 67,898N 22,677E
Loppupiste: 67,559N 20,062E
Suunta: 252,3°
Kallistuskulma: 9,4°
Tulonopeus: 71,5 km/s
Radiantin R,A,: 06:36 (99,0°)
Radiantin Dekl,: 14,8°
Meteoriparvi: Orionidit
Meteoroidin rataelementit:
Perihelietäisyys: 0,665 AU
Eksentrisyys: 1,176
Inklinaatio: 163,5°
Nousevan solmun pituus: 31,1°
Perihelin argumentti: 67,3°
Keskianomalia: -4,5°
Epookki: 2022 OCT 24 20:01:26
orbit plot

Ei-interaktiivinen kuvaaja | Interaktiivinen kuvaaja

position vs time
speed and acceleration