🇳🇴 🇬🇧 🇩🇪 🇨🇿 🇫🇮

Meteor, poloha: Burfjord 2022-10-24 22:36:00 UTC

Soubor KML  |  InteraktivnĂ­ mapa

Mapa zobrazuje dráhy meteoru. Světlejší čáry ukazují směry od pozorovacích stanic při objevení se meteoru a tmavší čáry, kde byl naposledy viděn. Modrá šipka značí viditelnou dráhu meteoru.

static map
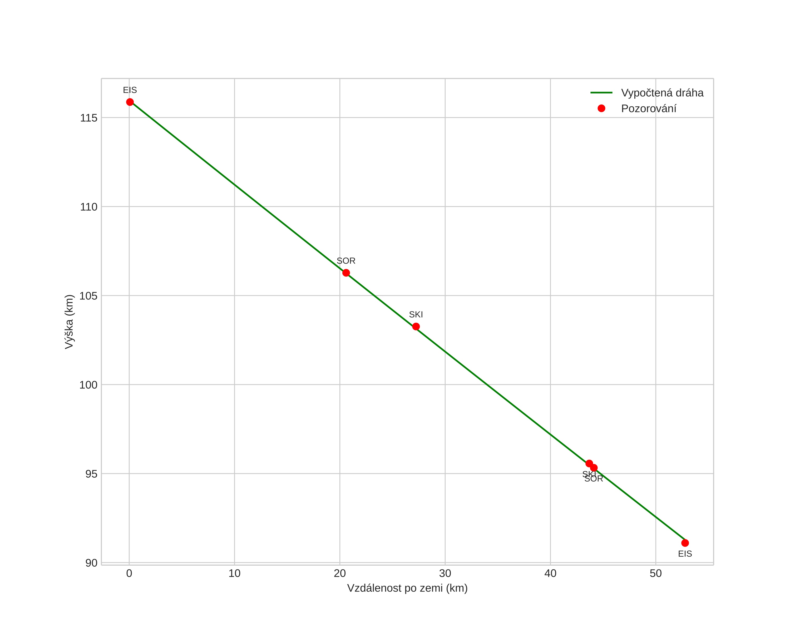
height profile
Atmosférická dráha meteoru:
Počáteční výška: 101,7 km
Konečná výška: 92,7 km
Počáteční poloha: 69,932N 22,170E
Konečná poloha: 70,031N 21,637E
Směr: 298,7°
Sklon: 21,3°
VstupnĂ­ rychlost: 56,3 km/s
Rektascenze radiantu: 06:02 (90,5°)
Deklinace radiantu: 10,1°
MeteorickĂ˝ roj: Orionidy
Elementy dráhy meteoroidu:
Vzdálenost v periheliu: 0,258 AU
Excentricita: 0,829
Sklon dráhy: 141,8°
Délka vzestupného uzlu: 31,2°
Argument perihelia: 129,4°
Střední anomálie: 337,6°
Epocha: 2022 OCT 24 22:36:00
orbit plot

NeinteraktivnĂ­ graf | InteraktivnĂ­ graf

position vs time
speed and acceleration