🇳🇴 🇬🇧 🇩🇪 🇨🇿 🇫🇮

Meteor Burfjordin yllä 2022-10-24 22:36:00 UTC

KML-tiedosto  |  Interaktiivinen kartta

Kartta näyttää meteorin suuntahavainnot. Vaaleammat viivat näyttävät suunnat havaintoasemilta meteorin ilmestyessä, ja tummemmat viivat näyttävät, missä se viimeksi nähtiin. Sininen nuoli näyttää meteorin näkyvän lennon.

static map
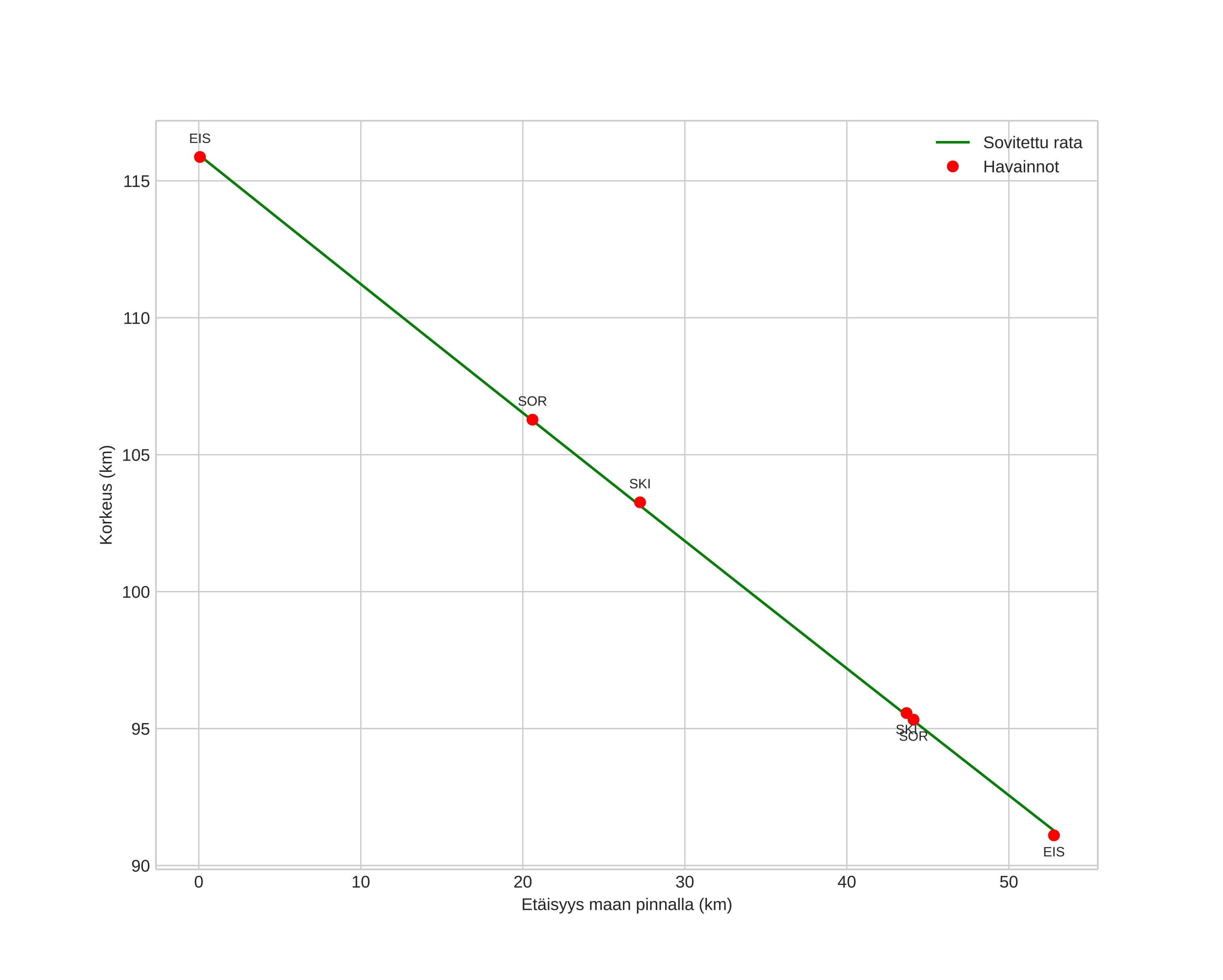
height profile
Meteorin ilmakehärata:
Alkukorkeus: 101,7 km
Loppukorkeus: 92,7 km
Alkupiste: 69,932N 22,170E
Loppupiste: 70,031N 21,637E
Suunta: 298,7°
Kallistuskulma: 21,3°
Tulonopeus: 56,3 km/s
Radiantin R,A,: 06:02 (90,5°)
Radiantin Dekl,: 10,1°
Meteoriparvi: Orionidit
Meteoroidin rataelementit:
Perihelietäisyys: 0,258 AU
Eksentrisyys: 0,829
Inklinaatio: 141,8°
Nousevan solmun pituus: 31,2°
Perihelin argumentti: 129,4°
Keskianomalia: 337,6°
Epookki: 2022 OCT 24 22:36:00
orbit plot

Ei-interaktiivinen kuvaaja | Interaktiivinen kuvaaja

position vs time
speed and acceleration