🇳🇴 🇬🇧 🇩🇪 🇨🇿 🇫🇮

Meteor, poloha: Ramberg 2022-10-25 01:24:18 UTC

Soubor KML  |  InteraktivnĂ­ mapa

Mapa zobrazuje dráhy meteoru. Světlejší čáry ukazují směry od pozorovacích stanic při objevení se meteoru a tmavší čáry, kde byl naposledy viděn. Modrá šipka značí viditelnou dráhu meteoru.

static map
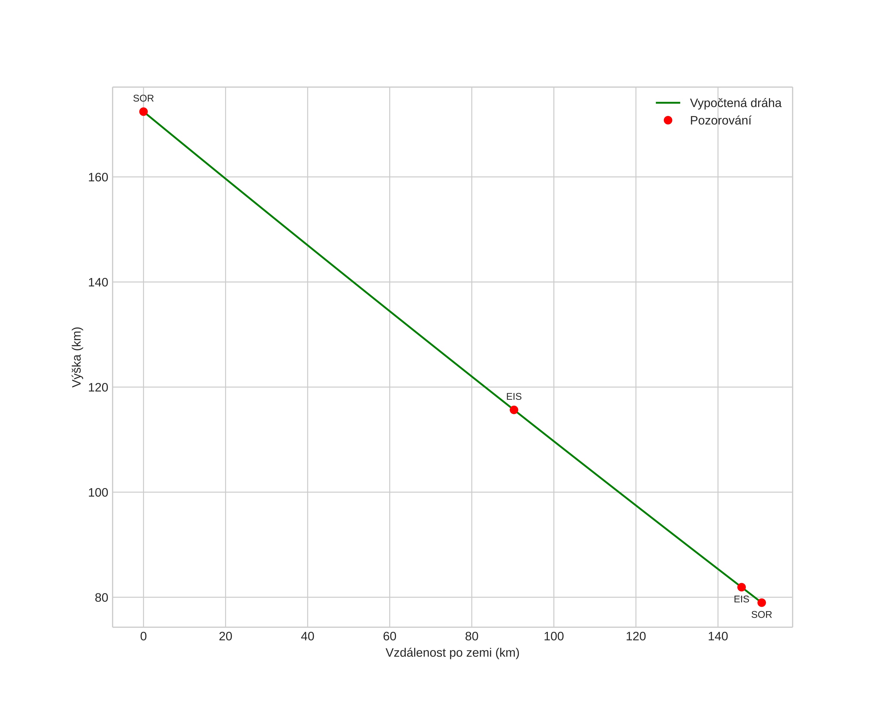
height profile
Atmosférická dráha meteoru:
Počáteční výška: 119,1 km
Konečná výška: 81,4 km
Počáteční poloha: 69,978N 12,625E
Konečná poloha: 70,433N 12,001E
Směr: 335,4°
Sklon: 34,1°
VstupnĂ­ rychlost: 70,1 km/s
Rektascenze radiantu: 05:50 (87,6°)
Deklinace radiantu: 15,2°
MeteorickĂ˝ roj: Orionidy
Elementy dráhy meteoroidu:
Vzdálenost v periheliu: 0,412 AU
Excentricita: 1,239
Sklon dráhy: 159,9°
Délka vzestupného uzlu: 31,3°
Argument perihelia: 93,3°
Střední anomálie: -14,5°
Epocha: 2022 OCT 25 01:24:18
orbit plot

NeinteraktivnĂ­ graf | InteraktivnĂ­ graf

position vs time
speed and acceleration