🇳🇴 🇬🇧 🇩🇪 🇨🇿 🇫🇮

Meteor über Ramberg 2022-10-25 01:24:18 UTC

KML-Datei  |  Interaktive Karte

Die Karte zeigt die Peilungen für den Meteor. Die helleren Linien zeigen die Richtungen von den Beobachtungsorten beim Erscheinen des Meteors, und die dunkleren Linien, wo er zuletzt gesehen wurde. Der blaue Pfeil zeigt die sichtbare Bahn des Meteors.

static map
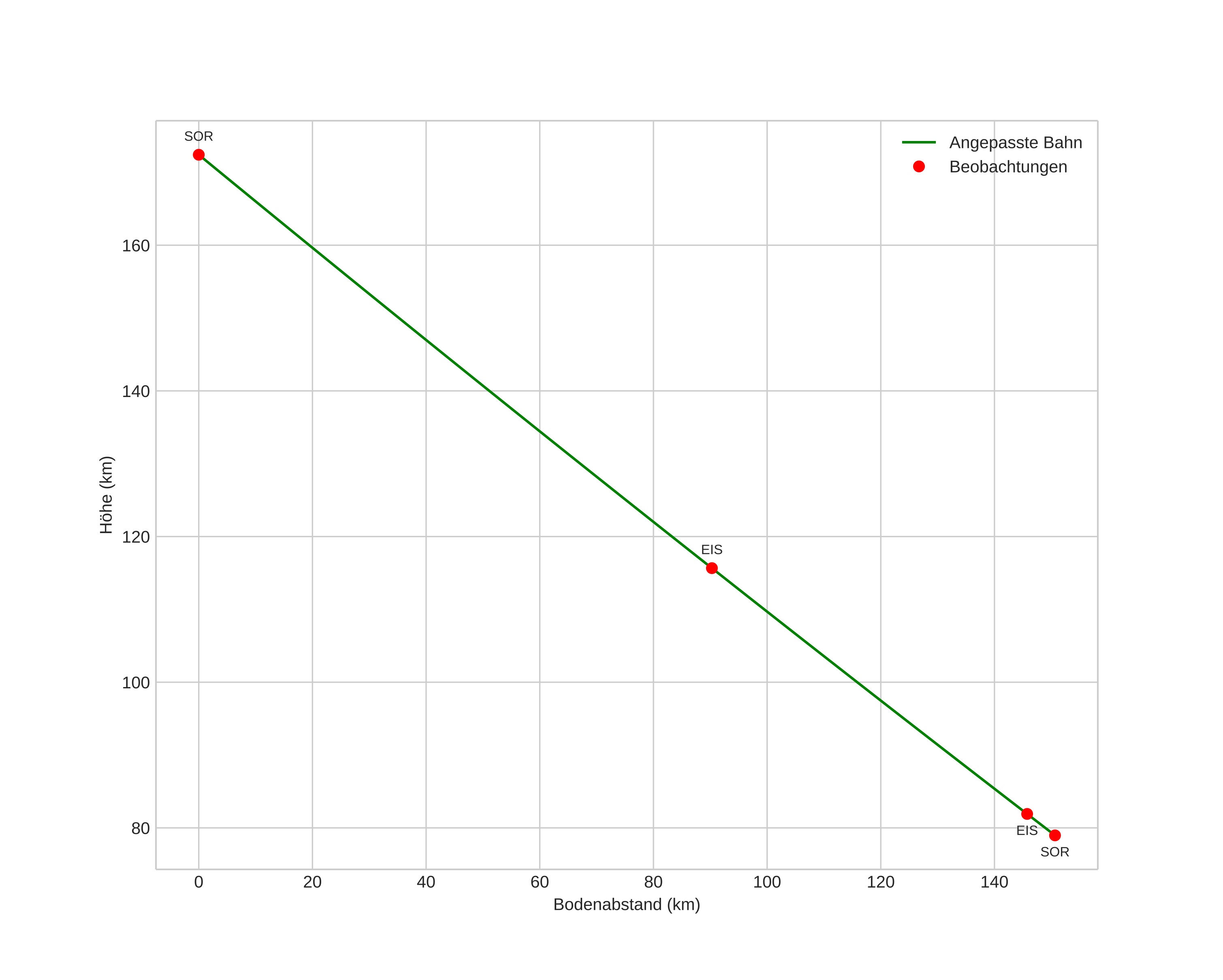
height profile
Atmosphärische Bahn des Meteors:
Anfangshöhe: 119,1 km
Endhöhe: 81,4 km
Startposition: 69,978N 12,625E
Endposition: 70,433N 12,001E
Richtung: 335,4°
Neigungswinkel: 34,1°
Eintrittsgeschwindigkeit: 70,1 km/s
Rektaszension des Radianten: 05:50 (87,6°)
Deklination des Radianten: 15,2°
Meteorstrom: Orioniden
Bahnelemente des Meteoroiden:
Periheldistanz: 0,412 AU
Exzentrizität: 1,239
Inklination: 159,9°
Länge des aufsteigenden Knotens: 31,3°
Argument des Perihels: 93,3°
Mittlere Anomalie: -14,5°
Epoche: 2022 OCT 25 01:24:18
orbit plot

Nicht-interaktives Diagramm | Interaktives Diagramm

position vs time
speed and acceleration