🇳🇴 🇬🇧 🇩🇪 🇨🇿 🇫🇮

Meteor, poloha: Skjervøy 2022-10-25 04:35:56 UTC

Soubor KML  |  InteraktivnĂ­ mapa

Mapa zobrazuje dráhy meteoru. Světlejší čáry ukazují směry od pozorovacích stanic při objevení se meteoru a tmavší čáry, kde byl naposledy viděn. Modrá šipka značí viditelnou dráhu meteoru.

static map
height profile
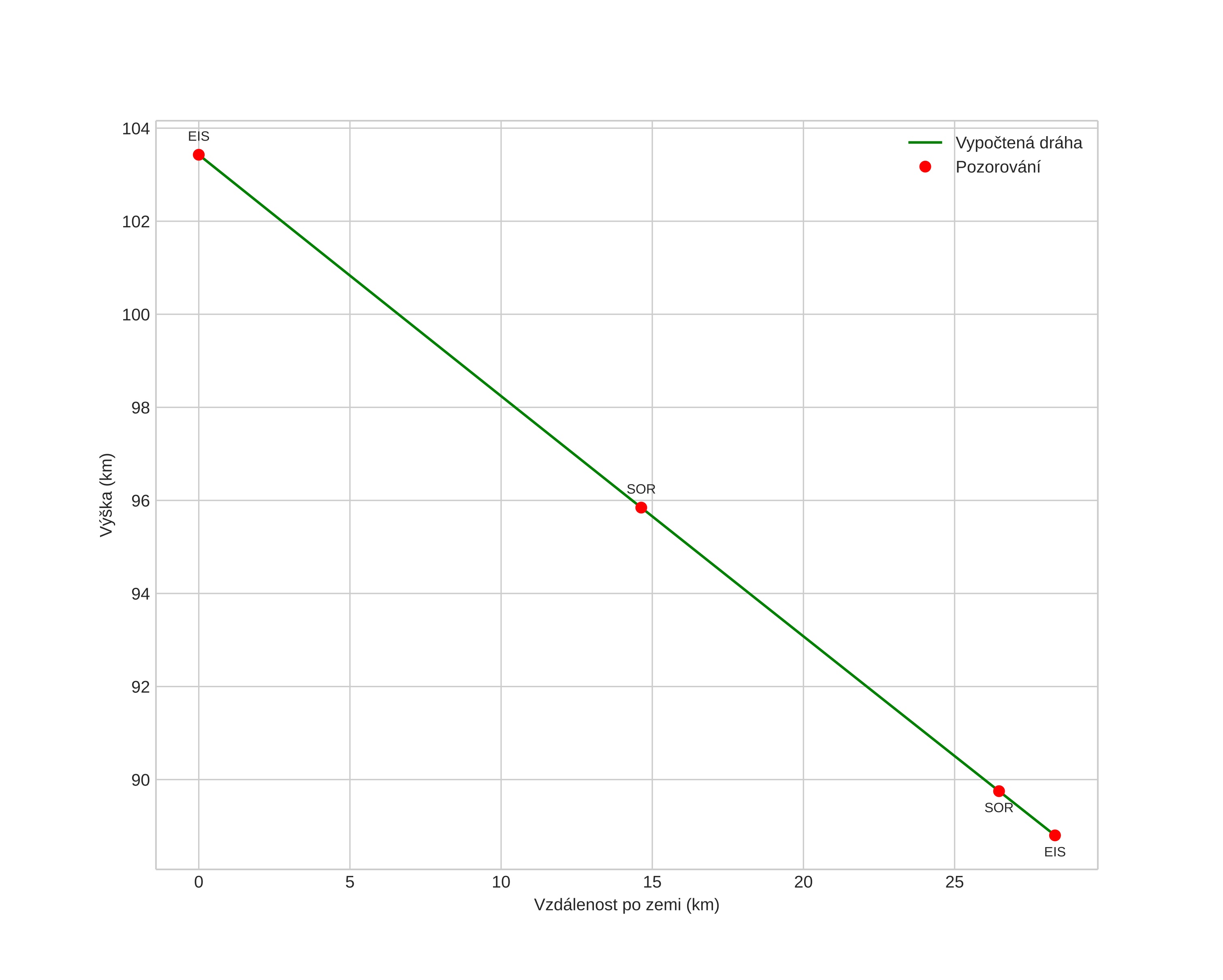
Atmosférická dráha meteoru:
Počáteční výška: 103,9 km
Konečná výška: 89,9 km
Počáteční poloha: 70,791N 21,609E
Konečná poloha: 70,842N 20,814E
Směr: 281,4°
Sklon: 25,3°
VstupnĂ­ rychlost: 44,1 km/s
Rektascenze radiantu: 12:59 (194,8°)
Deklinace radiantu: 19,2°
MeteorickĂ˝ roj: sporadickĂ˝
Elementy dráhy meteoroidu:
Vzdálenost v periheliu: 0,259 AU
Excentricita: 0,963
Sklon dráhy: 52,5°
Délka vzestupného uzlu: 211,4°
Argument perihelia: 59,5°
Střední anomálie: 1,9°
Epocha: 2022 OCT 25 04:35:56
orbit plot

NeinteraktivnĂ­ graf | InteraktivnĂ­ graf

position vs time
speed and acceleration