🇳🇴 🇬🇧 🇩🇪 🇨🇿 🇫🇮

Meteor Skjervøyn yllä 2022-10-25 04:35:56 UTC

KML-tiedosto  |  Interaktiivinen kartta

Kartta näyttää meteorin suuntahavainnot. Vaaleammat viivat näyttävät suunnat havaintoasemilta meteorin ilmestyessä, ja tummemmat viivat näyttävät, missä se viimeksi nähtiin. Sininen nuoli näyttää meteorin näkyvän lennon.

static map
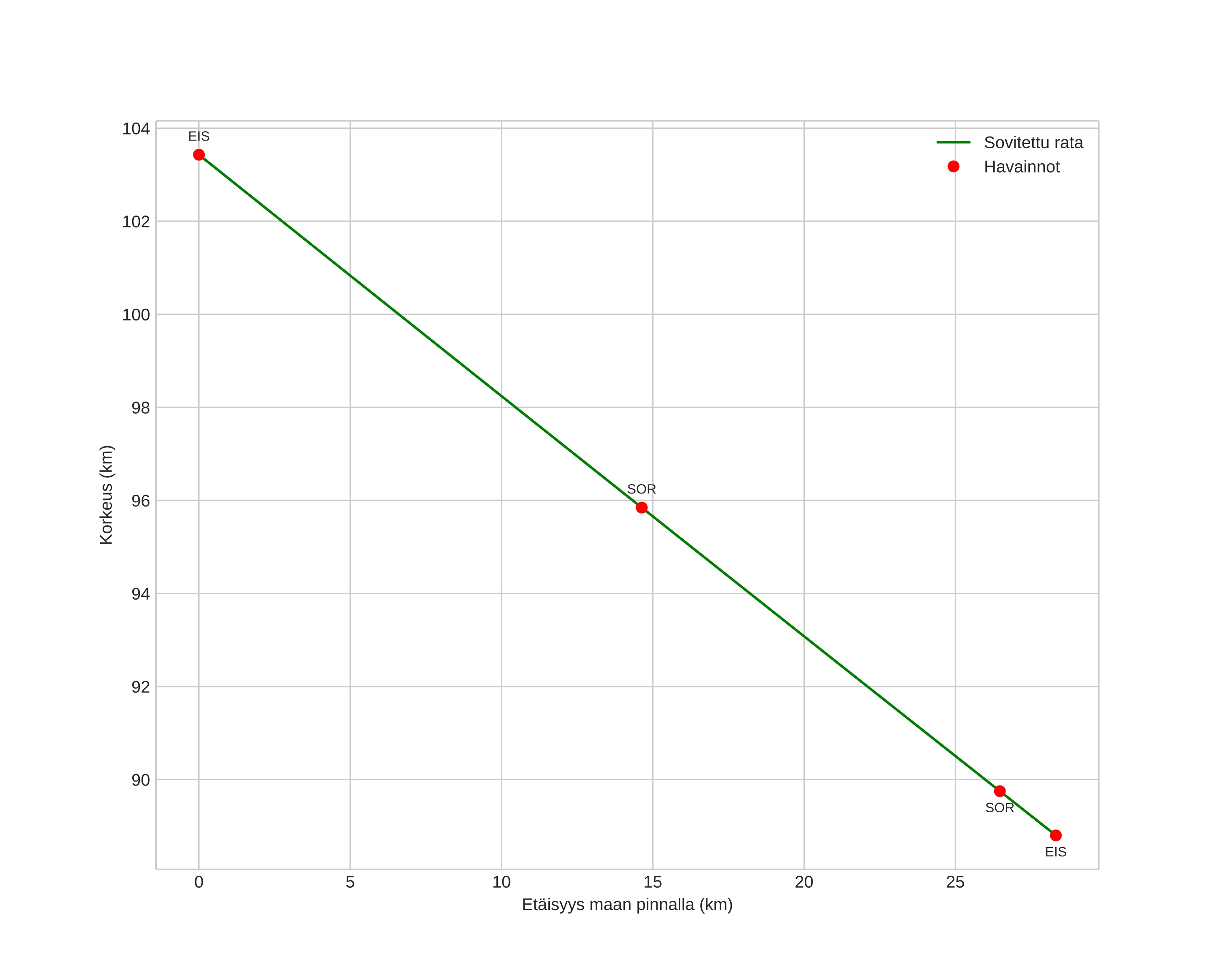
height profile
Meteorin ilmakehärata:
Alkukorkeus: 103,9 km
Loppukorkeus: 89,9 km
Alkupiste: 70,791N 21,609E
Loppupiste: 70,842N 20,814E
Suunta: 281,4°
Kallistuskulma: 25,3°
Tulonopeus: 44,1 km/s
Radiantin R,A,: 12:59 (194,8°)
Radiantin Dekl,: 19,2°
Meteoriparvi: Sporadinen
Meteoroidin rataelementit:
Perihelietäisyys: 0,259 AU
Eksentrisyys: 0,963
Inklinaatio: 52,5°
Nousevan solmun pituus: 211,4°
Perihelin argumentti: 59,5°
Keskianomalia: 1,9°
Epookki: 2022 OCT 25 04:35:56
orbit plot

Ei-interaktiivinen kuvaaja | Interaktiivinen kuvaaja

position vs time
speed and acceleration