🇳🇴 🇬🇧 🇩🇪 🇨🇿 🇫🇮

Meteor, poloha: Innbygda 2022-10-26 04:28:25 UTC

Soubor KML  |  InteraktivnĂ­ mapa

Mapa zobrazuje dráhy meteoru. Světlejší čáry ukazují směry od pozorovacích stanic při objevení se meteoru a tmavší čáry, kde byl naposledy viděn. Modrá šipka značí viditelnou dráhu meteoru.

static map
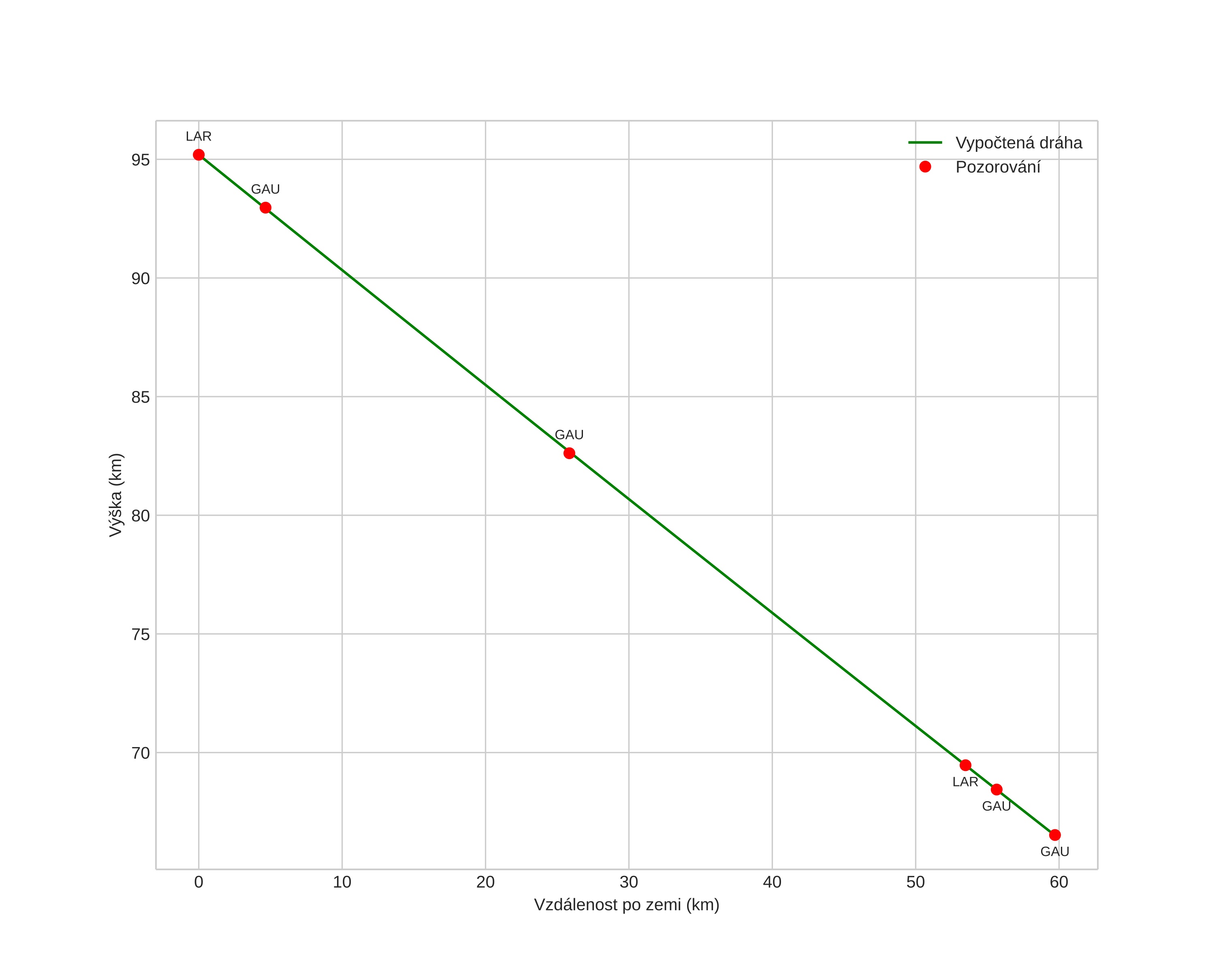
height profile
Atmosférická dráha meteoru:
Počáteční výška: 95,2 km
Konečná výška: 66,2 km
Počáteční poloha: 60,751N 11,322E
Konečná poloha: 60,891N 12,365E
Směr: 74,2°
Sklon: 26,3°
VstupnĂ­ rychlost: 32,8 km/s
Rektascenze radiantu: 03:11 (47,9°)
Deklinace radiantu: 13,4°
MeteorickĂ˝ roj: SevernĂ­ Tauridy
Elementy dráhy meteoroidu:
Vzdálenost v periheliu: 0,267 AU
Excentricita: 0,871
Sklon dráhy: 6,2°
Délka vzestupného uzlu: 32,4°
Argument perihelia: 124,8°
Střední anomálie: 346,8°
Epocha: 2022 OCT 26 04:28:25
orbit plot

NeinteraktivnĂ­ graf | InteraktivnĂ­ graf

position vs time
speed and acceleration