🇳🇴 🇬🇧 🇩🇪 🇨🇿 🇫🇮

Meteor Innbygdan yllä 2022-10-26 04:28:25 UTC

KML-tiedosto  |  Interaktiivinen kartta

Kartta näyttää meteorin suuntahavainnot. Vaaleammat viivat näyttävät suunnat havaintoasemilta meteorin ilmestyessä, ja tummemmat viivat näyttävät, missä se viimeksi nähtiin. Sininen nuoli näyttää meteorin näkyvän lennon.

static map
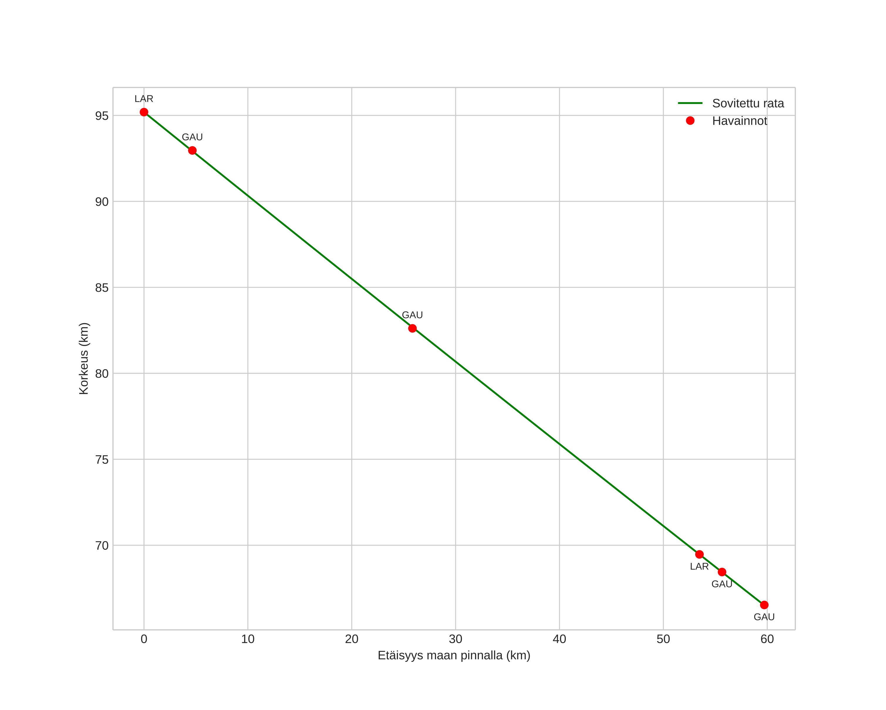
height profile
Meteorin ilmakehärata:
Alkukorkeus: 95,2 km
Loppukorkeus: 66,2 km
Alkupiste: 60,751N 11,322E
Loppupiste: 60,891N 12,365E
Suunta: 74,2°
Kallistuskulma: 26,3°
Tulonopeus: 32,8 km/s
Radiantin R,A,: 03:11 (47,9°)
Radiantin Dekl,: 13,4°
Meteoriparvi: Pohjoiset tauridit
Meteoroidin rataelementit:
Perihelietäisyys: 0,267 AU
Eksentrisyys: 0,871
Inklinaatio: 6,2°
Nousevan solmun pituus: 32,4°
Perihelin argumentti: 124,8°
Keskianomalia: 346,8°
Epookki: 2022 OCT 26 04:28:25
orbit plot

Ei-interaktiivinen kuvaaja | Interaktiivinen kuvaaja

position vs time
speed and acceleration