🇳🇴 🇬🇧 🇩🇪 🇨🇿 🇫🇮

Meteor, poloha: Hansnes 2022-10-27 19:38:27 UTC

Soubor KML  |  InteraktivnĂ­ mapa

Mapa zobrazuje dráhy meteoru. Světlejší čáry ukazují směry od pozorovacích stanic při objevení se meteoru a tmavší čáry, kde byl naposledy viděn. Modrá šipka značí viditelnou dráhu meteoru.

static map
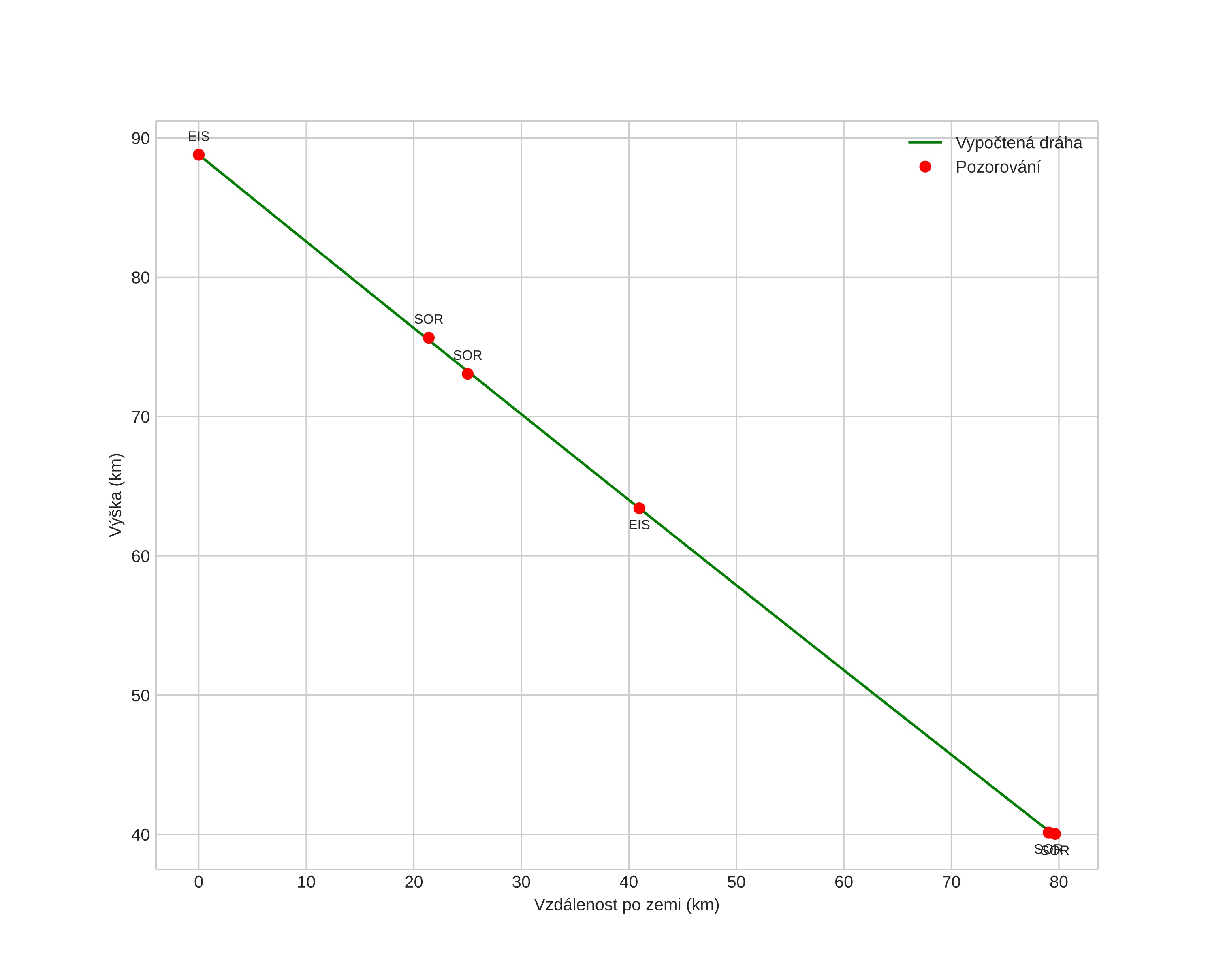
height profile
Atmosférická dráha meteoru:
Počáteční výška: 90,7 km
Konečná výška: 38,7 km
Počáteční poloha: 69,376N 20,614E
Konečná poloha: 69,998N 19,526E
Směr: 329,2°
Sklon: 32,7°
VstupnĂ­ rychlost: 18,9 km/s
Rektascenze radiantu: 01:12 (18,1°)
Deklinace radiantu: 8,0°
MeteorickĂ˝ roj: sporadickĂ˝
Elementy dráhy meteoroidu:
Vzdálenost v periheliu: 0,774 AU
Excentricita: 0,637
Sklon dráhy: 0,1°
Délka vzestupného uzlu: 213,1°
Argument perihelia: 245,3°
Střední anomálie: 346,8°
Epocha: 2022 OCT 27 19:38:27
orbit plot

NeinteraktivnĂ­ graf | InteraktivnĂ­ graf

position vs time
speed and acceleration