🇳🇴 🇬🇧 🇩🇪 🇨🇿 🇫🇮

Meteor Hansnesin yllä 2022-10-27 19:38:27 UTC

KML-tiedosto  |  Interaktiivinen kartta

Kartta näyttää meteorin suuntahavainnot. Vaaleammat viivat näyttävät suunnat havaintoasemilta meteorin ilmestyessä, ja tummemmat viivat näyttävät, missä se viimeksi nähtiin. Sininen nuoli näyttää meteorin näkyvän lennon.

static map
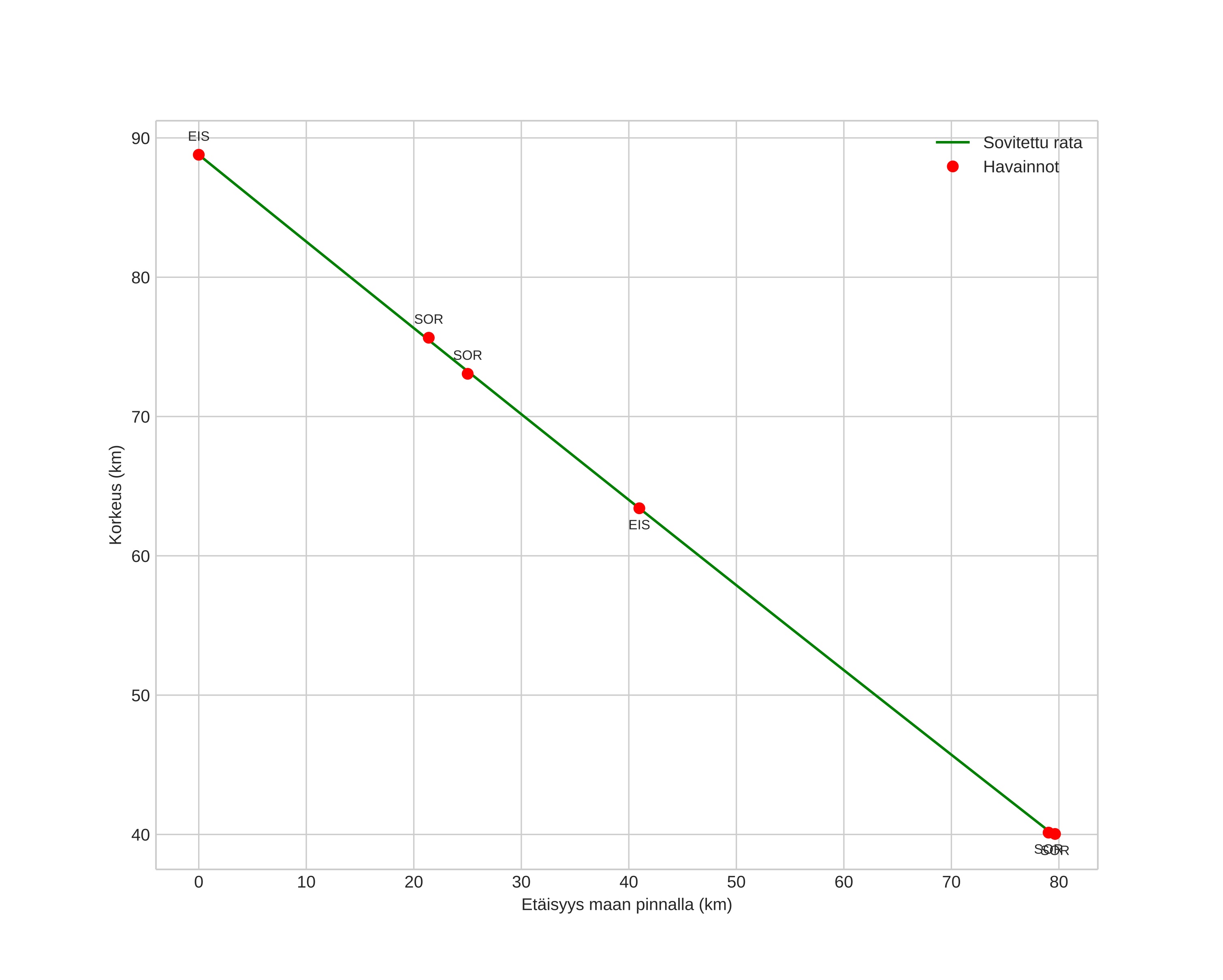
height profile
Meteorin ilmakehärata:
Alkukorkeus: 90,7 km
Loppukorkeus: 38,7 km
Alkupiste: 69,376N 20,614E
Loppupiste: 69,998N 19,526E
Suunta: 329,2°
Kallistuskulma: 32,7°
Tulonopeus: 18,9 km/s
Radiantin R,A,: 01:12 (18,1°)
Radiantin Dekl,: 8,0°
Meteoriparvi: Sporadinen
Meteoroidin rataelementit:
Perihelietäisyys: 0,774 AU
Eksentrisyys: 0,637
Inklinaatio: 0,1°
Nousevan solmun pituus: 213,1°
Perihelin argumentti: 245,3°
Keskianomalia: 346,8°
Epookki: 2022 OCT 27 19:38:27
orbit plot

Ei-interaktiivinen kuvaaja | Interaktiivinen kuvaaja

position vs time
speed and acceleration