🇳🇴 🇬🇧 🇩🇪 🇨🇿 🇫🇮

Meteor, poloha: Fevik 2022-10-28 21:21:17 UTC

Soubor KML  |  InteraktivnĂ­ mapa

Mapa zobrazuje dráhy meteoru. Světlejší čáry ukazují směry od pozorovacích stanic při objevení se meteoru a tmavší čáry, kde byl naposledy viděn. Modrá šipka značí viditelnou dráhu meteoru.

static map
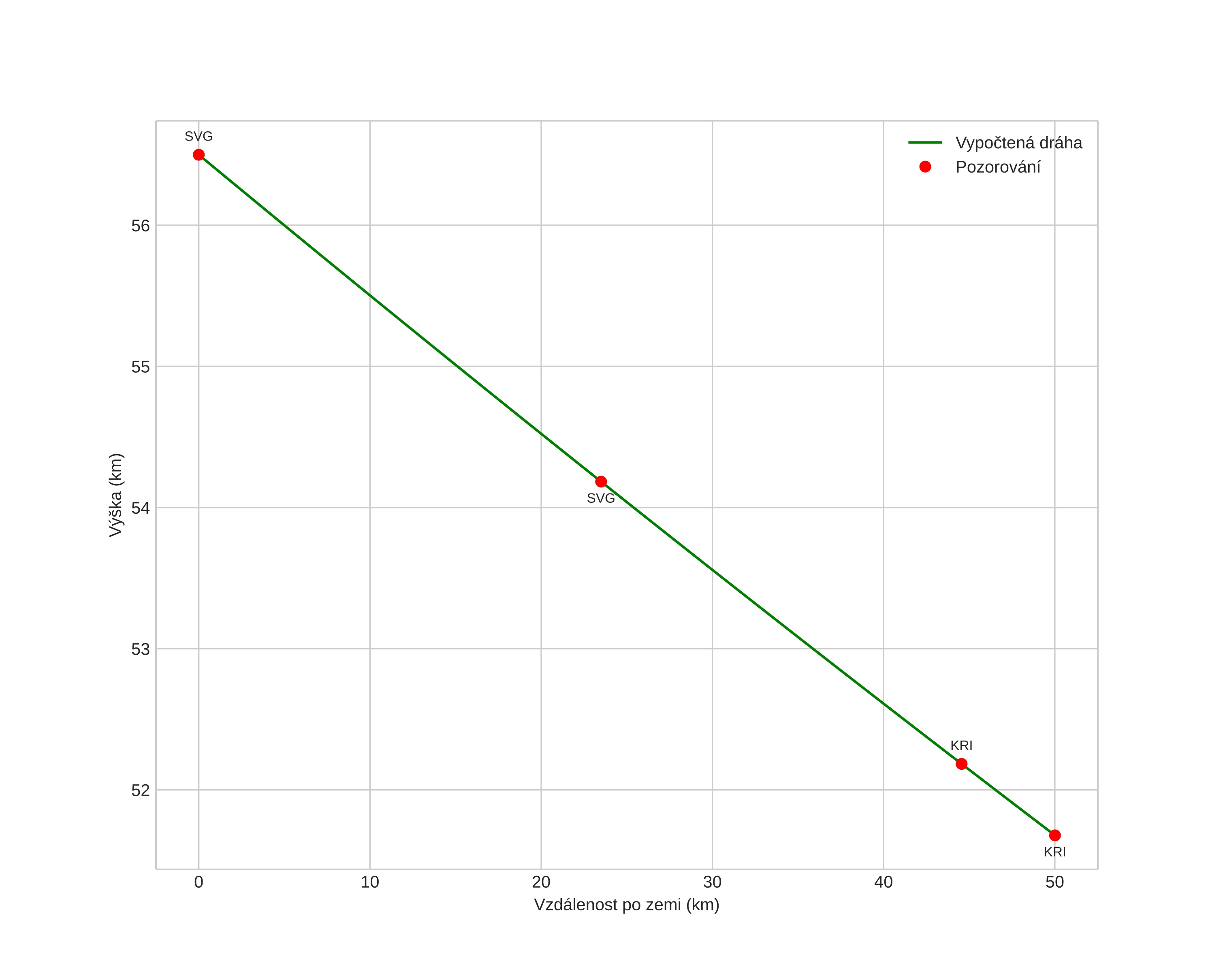
height profile
Atmosférická dráha meteoru:
Počáteční výška: 56,5 km
Konečná výška: 51,7 km
Počáteční poloha: 57,742N 9,000E
Konečná poloha: 58,178N 8,790E
Směr: 345,8°
Sklon: 5,5°
VstupnĂ­ rychlost: 11,7 km/s
Rektascenze radiantu: 03:31 (52,9°)
Deklinace radiantu: -78,2°
MeteorickĂ˝ roj: sporadickĂ˝
Elementy dráhy meteoroidu:
Vzdálenost v periheliu: 0,993 AU
Excentricita: 0,078
Sklon dráhy: 5,8°
Délka vzestupného uzlu: 35,1°
Argument perihelia: 9,0°
Střední anomálie: 352,3°
Epocha: 2022 OCT 28 21:21:17
orbit plot

NeinteraktivnĂ­ graf | InteraktivnĂ­ graf

position vs time
speed and acceleration