🇳🇴 🇬🇧 🇩🇪 🇨🇿 🇫🇮

Meteor Fevikin yllä 2022-10-28 21:21:17 UTC

KML-tiedosto  |  Interaktiivinen kartta

Kartta näyttää meteorin suuntahavainnot. Vaaleammat viivat näyttävät suunnat havaintoasemilta meteorin ilmestyessä, ja tummemmat viivat näyttävät, missä se viimeksi nähtiin. Sininen nuoli näyttää meteorin näkyvän lennon.

static map
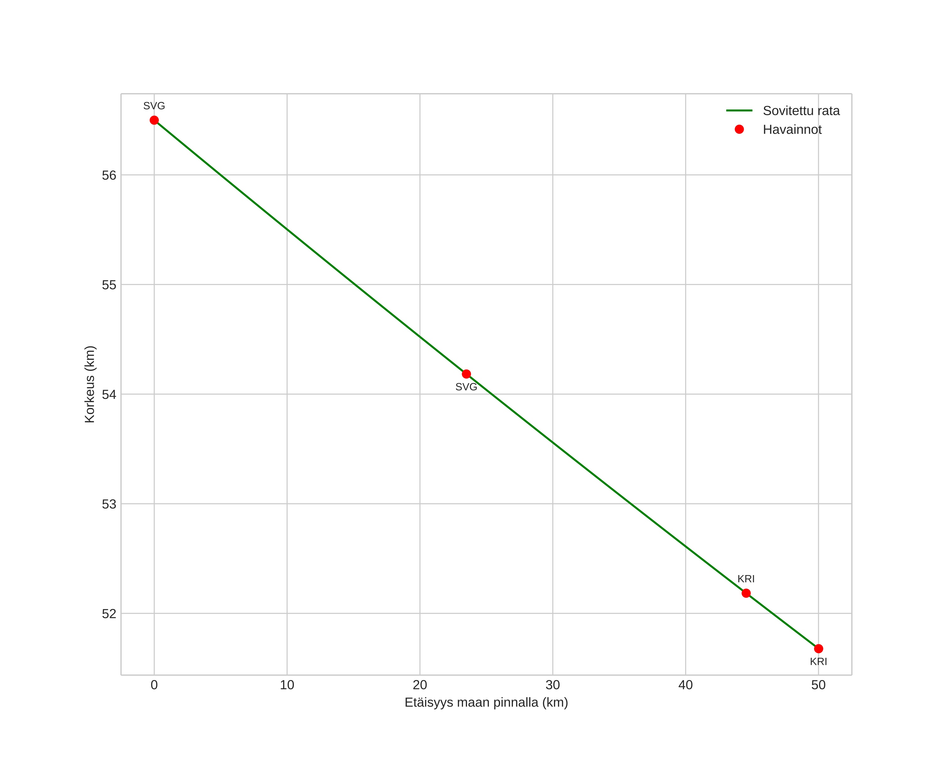
height profile
Meteorin ilmakehärata:
Alkukorkeus: 56,5 km
Loppukorkeus: 51,7 km
Alkupiste: 57,742N 9,000E
Loppupiste: 58,178N 8,790E
Suunta: 345,8°
Kallistuskulma: 5,5°
Tulonopeus: 11,7 km/s
Radiantin R,A,: 03:31 (52,9°)
Radiantin Dekl,: -78,2°
Meteoriparvi: Sporadinen
Meteoroidin rataelementit:
Perihelietäisyys: 0,993 AU
Eksentrisyys: 0,078
Inklinaatio: 5,8°
Nousevan solmun pituus: 35,1°
Perihelin argumentti: 9,0°
Keskianomalia: 352,3°
Epookki: 2022 OCT 28 21:21:17
orbit plot

Ei-interaktiivinen kuvaaja | Interaktiivinen kuvaaja

position vs time
speed and acceleration