🇳🇴 🇬🇧 🇩🇪 🇨🇿 🇫🇮

Meteor, poloha: BĂĄlsta 2022-10-29 20:17:06 UTC

Soubor KML  |  InteraktivnĂ­ mapa

Mapa zobrazuje dráhy meteoru. Světlejší čáry ukazují směry od pozorovacích stanic při objevení se meteoru a tmavší čáry, kde byl naposledy viděn. Modrá šipka značí viditelnou dráhu meteoru.

static map
height profile
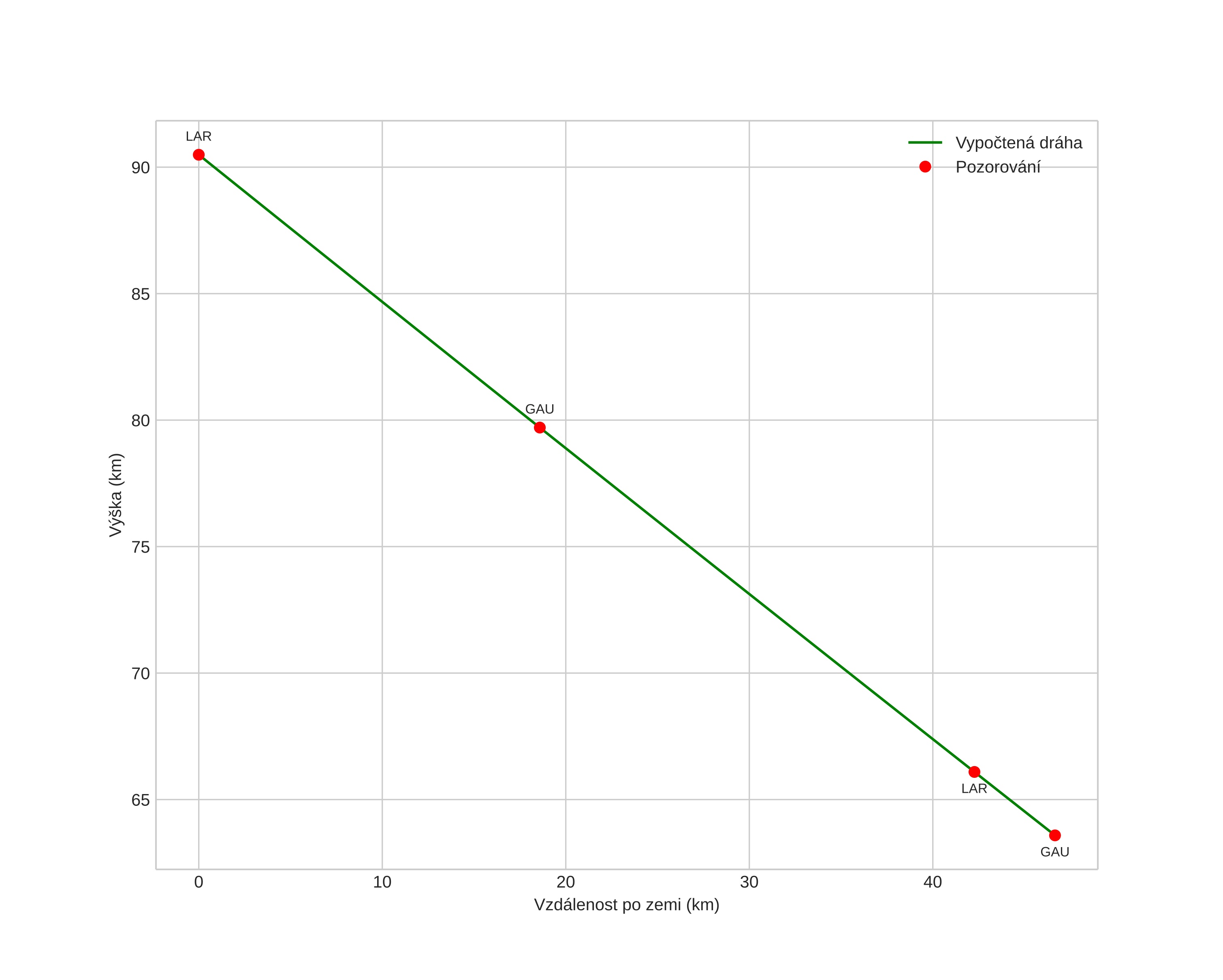
Atmosférická dráha meteoru:
Počáteční výška: 91,2 km
Konečná výška: 63,6 km
Počáteční poloha: 59,381N 18,185E
Konečná poloha: 59,537N 17,392E
Směr: 291,5°
Sklon: 29,9°
VstupnĂ­ rychlost: 42,9 km/s
Rektascenze radiantu: 03:49 (57,4°)
Deklinace radiantu: 14,4°
MeteorickĂ˝ roj: sporadickĂ˝
Elementy dráhy meteoroidu:
Vzdálenost v periheliu: 0,125 AU
Excentricita: 0,988
Sklon dráhy: 15,4°
Délka vzestupného uzlu: 36,1°
Argument perihelia: 139,3°
Střední anomálie: 359,1°
Epocha: 2022 OCT 29 20:17:06
orbit plot

NeinteraktivnĂ­ graf | InteraktivnĂ­ graf

position vs time
speed and acceleration