🇳🇴 🇬🇧 🇩🇪 🇨🇿 🇫🇮

Meteor Bålstan yllä 2022-10-29 20:17:06 UTC

KML-tiedosto  |  Interaktiivinen kartta

Kartta näyttää meteorin suuntahavainnot. Vaaleammat viivat näyttävät suunnat havaintoasemilta meteorin ilmestyessä, ja tummemmat viivat näyttävät, missä se viimeksi nähtiin. Sininen nuoli näyttää meteorin näkyvän lennon.

static map
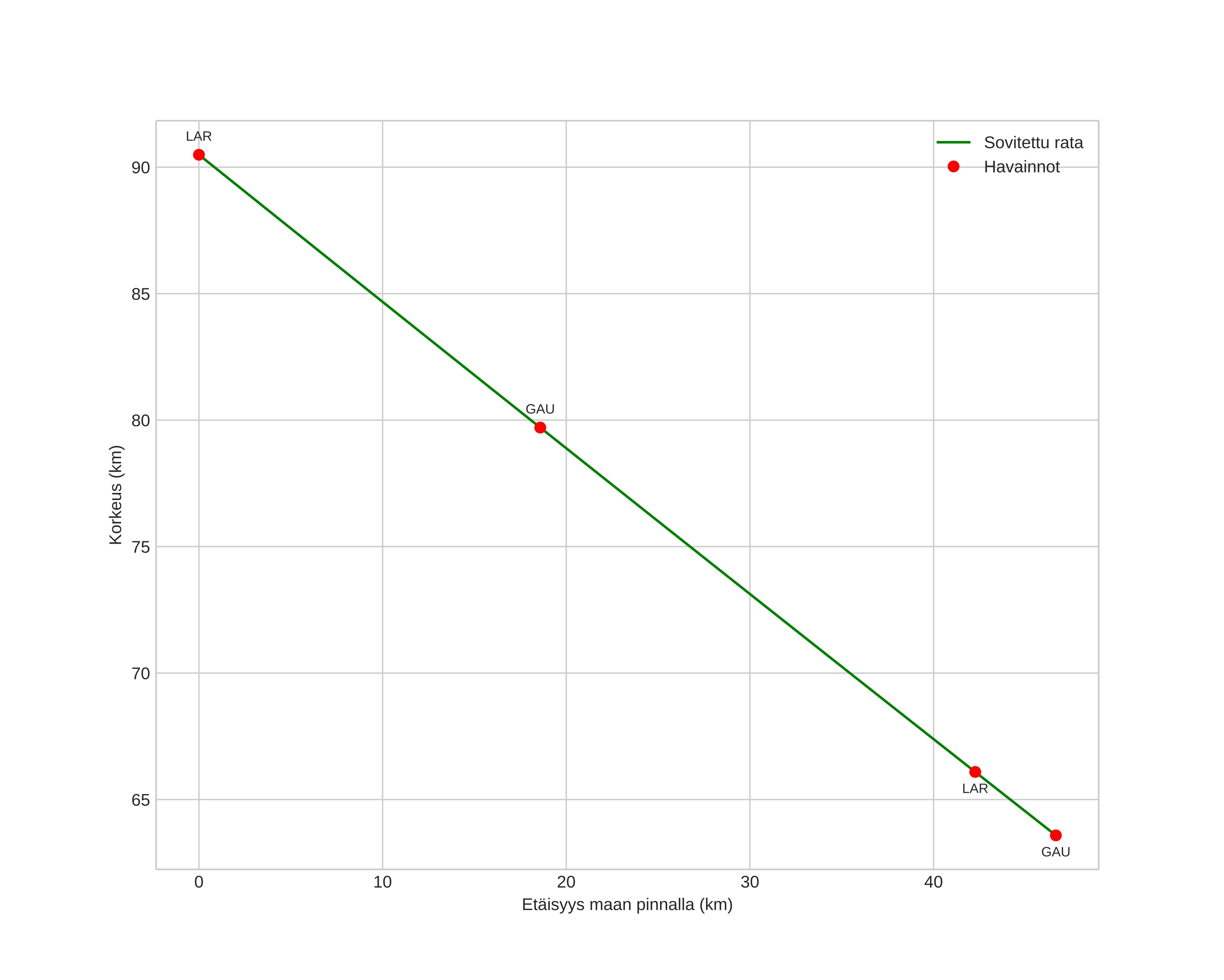
height profile
Meteorin ilmakehärata:
Alkukorkeus: 91,2 km
Loppukorkeus: 63,6 km
Alkupiste: 59,381N 18,185E
Loppupiste: 59,537N 17,392E
Suunta: 291,5°
Kallistuskulma: 29,9°
Tulonopeus: 42,9 km/s
Radiantin R,A,: 03:49 (57,4°)
Radiantin Dekl,: 14,4°
Meteoriparvi: Sporadinen
Meteoroidin rataelementit:
Perihelietäisyys: 0,125 AU
Eksentrisyys: 0,988
Inklinaatio: 15,4°
Nousevan solmun pituus: 36,1°
Perihelin argumentti: 139,3°
Keskianomalia: 359,1°
Epookki: 2022 OCT 29 20:17:06
orbit plot

Ei-interaktiivinen kuvaaja | Interaktiivinen kuvaaja

position vs time
speed and acceleration