🇳🇴 🇬🇧 🇩🇪 🇨🇿 🇫🇮

Meteor, poloha: Harboøre 2022-10-29 20:19:07 UTC

Soubor KML  |  InteraktivnĂ­ mapa

Mapa zobrazuje dráhy meteoru. Světlejší čáry ukazují směry od pozorovacích stanic při objevení se meteoru a tmavší čáry, kde byl naposledy viděn. Modrá šipka značí viditelnou dráhu meteoru.

static map
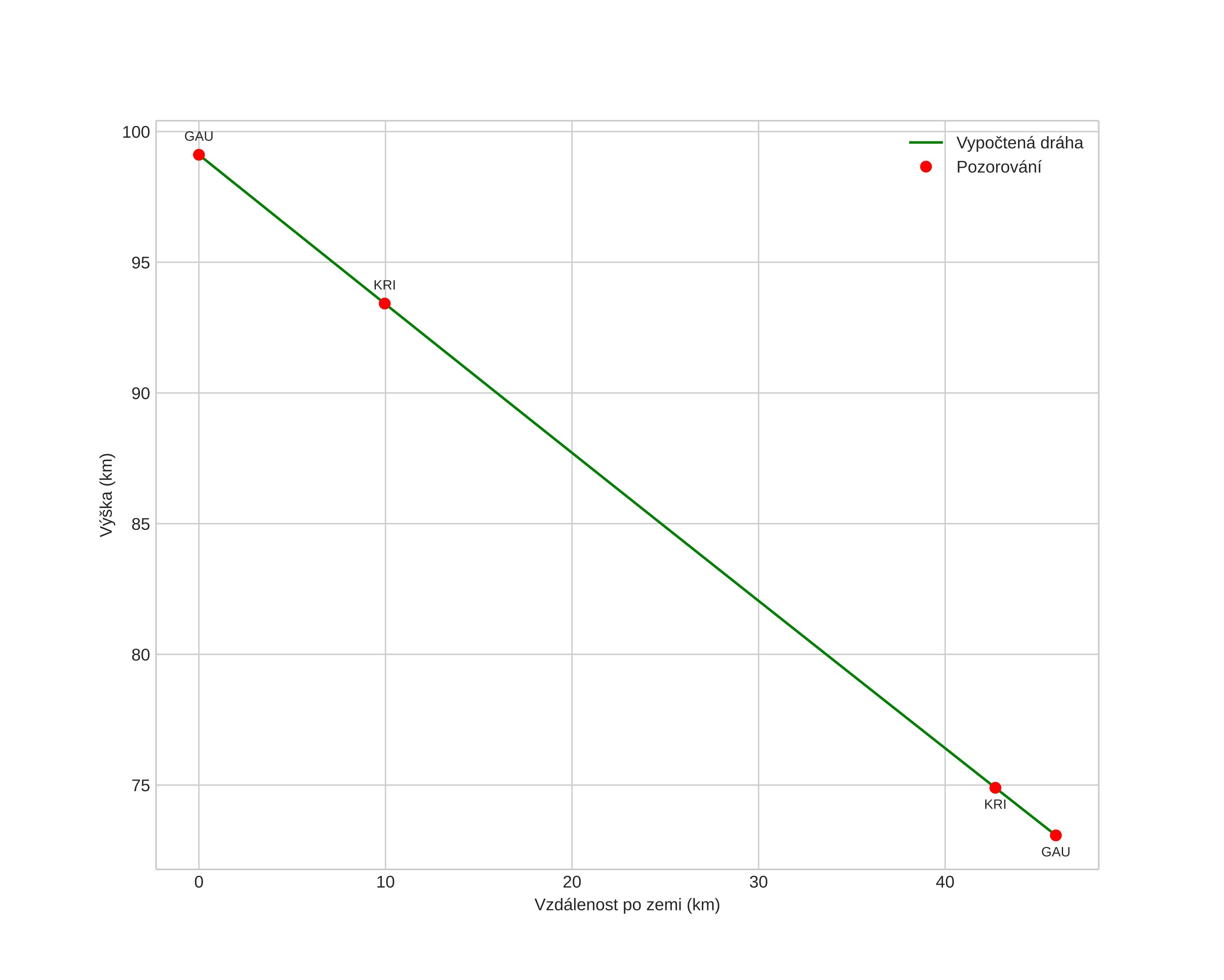
height profile
Atmosférická dráha meteoru:
Počáteční výška: 98,3 km
Konečná výška: 70,7 km
Počáteční poloha: 56,428N 8,167E
Konečná poloha: 56,537N 7,393E
Směr: 284,6°
Sklon: 29,4°
VstupnĂ­ rychlost: 34,3 km/s
Rektascenze radiantu: 03:32 (53,2°)
Deklinace radiantu: 15,1°
MeteorickĂ˝ roj: SevernĂ­ Tauridy
Elementy dráhy meteoroidu:
Vzdálenost v periheliu: 0,234 AU
Excentricita: 0,886
Sklon dráhy: 6,3°
Délka vzestupného uzlu: 36,1°
Argument perihelia: 128,8°
Střední anomálie: 346,9°
Epocha: 2022 OCT 29 20:19:07
orbit plot

NeinteraktivnĂ­ graf | InteraktivnĂ­ graf

position vs time
speed and acceleration