🇳🇴 🇬🇧 🇩🇪 🇨🇿 🇫🇮

Meteor Harboøren yllä 2022-10-29 20:19:07 UTC

KML-tiedosto  |  Interaktiivinen kartta

Kartta näyttää meteorin suuntahavainnot. Vaaleammat viivat näyttävät suunnat havaintoasemilta meteorin ilmestyessä, ja tummemmat viivat näyttävät, missä se viimeksi nähtiin. Sininen nuoli näyttää meteorin näkyvän lennon.

static map
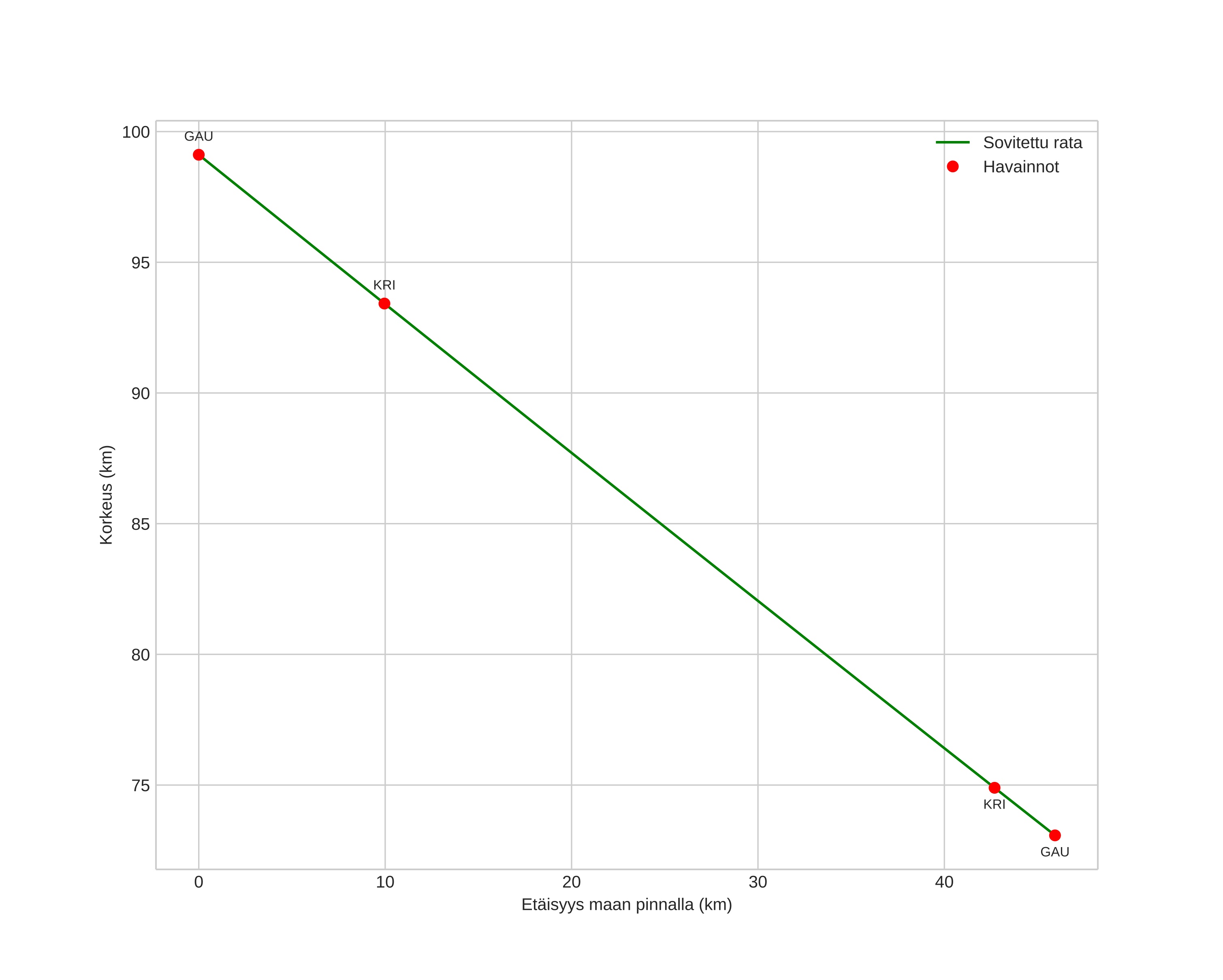
height profile
Meteorin ilmakehärata:
Alkukorkeus: 98,3 km
Loppukorkeus: 70,7 km
Alkupiste: 56,428N 8,167E
Loppupiste: 56,537N 7,393E
Suunta: 284,6°
Kallistuskulma: 29,4°
Tulonopeus: 34,3 km/s
Radiantin R,A,: 03:32 (53,2°)
Radiantin Dekl,: 15,1°
Meteoriparvi: Pohjoiset tauridit
Meteoroidin rataelementit:
Perihelietäisyys: 0,234 AU
Eksentrisyys: 0,886
Inklinaatio: 6,3°
Nousevan solmun pituus: 36,1°
Perihelin argumentti: 128,8°
Keskianomalia: 346,9°
Epookki: 2022 OCT 29 20:19:07
orbit plot

Ei-interaktiivinen kuvaaja | Interaktiivinen kuvaaja

position vs time
speed and acceleration