🇳🇴 🇬🇧 🇩🇪 🇨🇿 🇫🇮

Meteor, poloha: Kyrkjebygda 2022-10-29 22:39:35 UTC

Soubor KML  |  InteraktivnĂ­ mapa

Mapa zobrazuje dráhy meteoru. Světlejší čáry ukazují směry od pozorovacích stanic při objevení se meteoru a tmavší čáry, kde byl naposledy viděn. Modrá šipka značí viditelnou dráhu meteoru.

static map
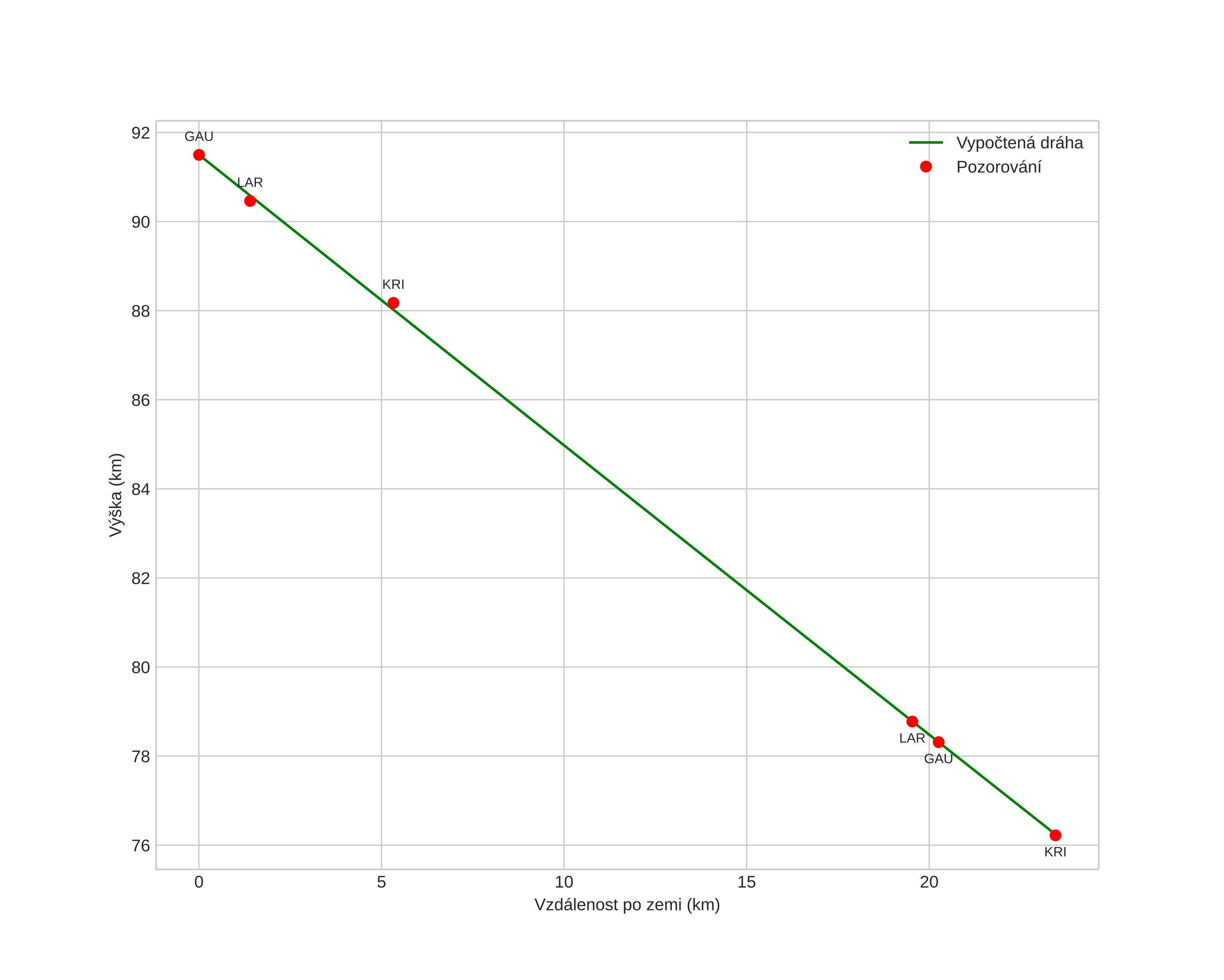
height profile
Atmosférická dráha meteoru:
Počáteční výška: 93,2 km
Konečná výška: 78,9 km
Počáteční poloha: 59,167N 7,053E
Konečná poloha: 58,975N 7,131E
Směr: 168,1°
Sklon: 33,3°
VstupnĂ­ rychlost: 35,4 km/s
Rektascenze radiantu: 15:08 (227,2°)
Deklinace radiantu: 61,4°
MeteorickĂ˝ roj: sporadickĂ˝
Elementy dráhy meteoroidu:
Vzdálenost v periheliu: 0,950 AU
Excentricita: 0,796
Sklon dráhy: 54,4°
Délka vzestupného uzlu: 216,2°
Argument perihelia: 154,3°
Střední anomálie: 1,8°
Epocha: 2022 OCT 29 22:39:35
orbit plot

NeinteraktivnĂ­ graf | InteraktivnĂ­ graf

position vs time
speed and acceleration

Kristiansand (KRI) cam4


gnomonic
Videa
• Gnomonická
• Gnomonická se souřadnicemi
• Původní
• Původní se souřadnicemi
Obrázky
• Gnomonická
• Gnomonická se souřadnicemi
• Původní
• Původní se souřadnicemi
Textové soubory
• Detekce
• Pozorování
• Souřadnice
• Chybová hlášení
• Protokol
Jasnost