🇳🇴 🇬🇧 🇩🇪 🇨🇿 🇫🇮

Meteor Kyrkjebygdan yllä 2022-10-29 22:39:35 UTC

KML-tiedosto  |  Interaktiivinen kartta

Kartta näyttää meteorin suuntahavainnot. Vaaleammat viivat näyttävät suunnat havaintoasemilta meteorin ilmestyessä, ja tummemmat viivat näyttävät, missä se viimeksi nähtiin. Sininen nuoli näyttää meteorin näkyvän lennon.

static map
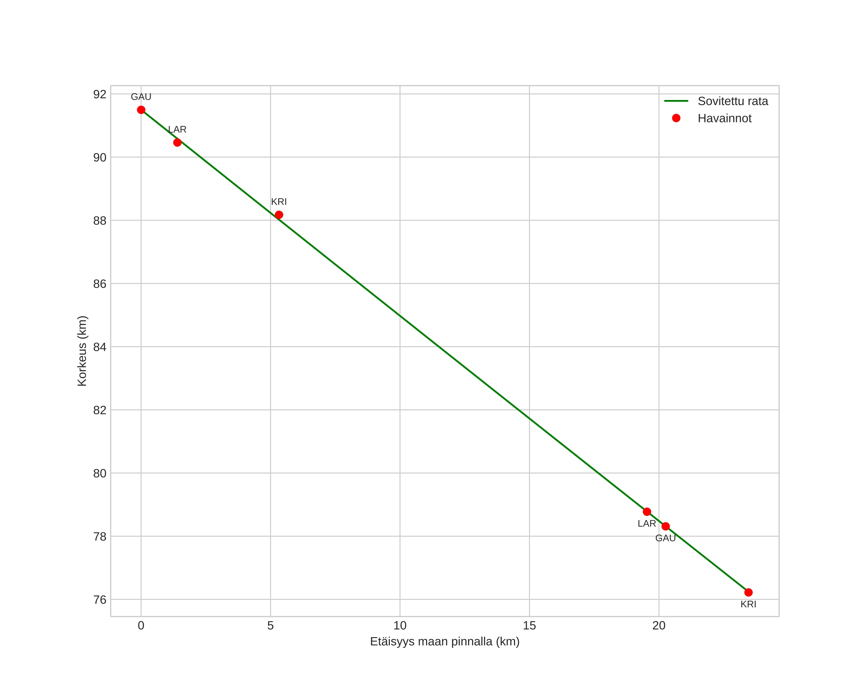
height profile
Meteorin ilmakehärata:
Alkukorkeus: 93,2 km
Loppukorkeus: 78,9 km
Alkupiste: 59,167N 7,053E
Loppupiste: 58,975N 7,131E
Suunta: 168,1°
Kallistuskulma: 33,3°
Tulonopeus: 35,4 km/s
Radiantin R,A,: 15:08 (227,2°)
Radiantin Dekl,: 61,4°
Meteoriparvi: Sporadinen
Meteoroidin rataelementit:
Perihelietäisyys: 0,950 AU
Eksentrisyys: 0,796
Inklinaatio: 54,4°
Nousevan solmun pituus: 216,2°
Perihelin argumentti: 154,3°
Keskianomalia: 1,8°
Epookki: 2022 OCT 29 22:39:35
orbit plot

Ei-interaktiivinen kuvaaja | Interaktiivinen kuvaaja

position vs time
speed and acceleration

Kristiansand (KRI) cam4


gnomonic
Videot:
• Gnomoninen
• Gnomoninen koordinaateilla
• Alkuperäinen
• Alkuperäinen koordinaateilla
Kuvat:
• Gnomoninen
• Gnomoninen koordinaateilla
• Alkuperäinen
• Alkuperäinen koordinaateilla
Tekstitiedostot:
• Havaintoraportti
• Observaatio
• Koordinaatit
• Virheilmoitukset
• Loki
Kirkkaus