🇳🇴 🇬🇧 🇩🇪 🇨🇿 🇫🇮

Meteor, poloha: Götene 2022-10-29 22:40:19 UTC

Soubor KML  |  InteraktivnĂ­ mapa

Mapa zobrazuje dráhy meteoru. Světlejší čáry ukazují směry od pozorovacích stanic při objevení se meteoru a tmavší čáry, kde byl naposledy viděn. Modrá šipka značí viditelnou dráhu meteoru.

static map
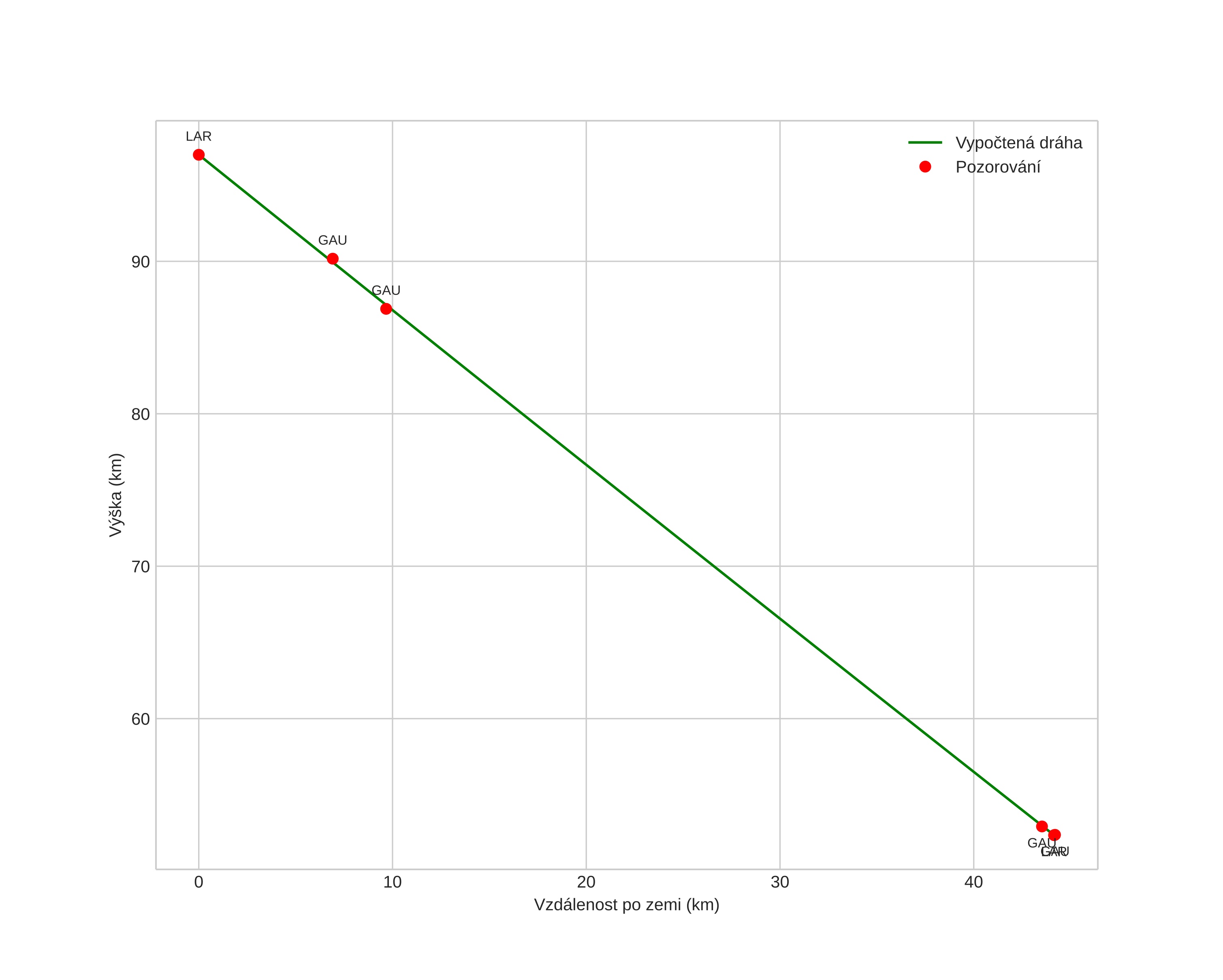
height profile
Atmosférická dráha meteoru:
Počáteční výška: 95,4 km
Konečná výška: 51,1 km
Počáteční poloha: 58,269N 13,946E
Konečná poloha: 58,627N 13,540E
Směr: 329,5°
Sklon: 43,7°
VstupnĂ­ rychlost: 34,8 km/s
Rektascenze radiantu: 03:36 (54,1°)
Deklinace radiantu: 13,7°
MeteorickĂ˝ roj: SevernĂ­ Tauridy
Elementy dráhy meteoroidu:
Vzdálenost v periheliu: 0,226 AU
Excentricita: 0,895
Sklon dráhy: 9,2°
Délka vzestupného uzlu: 36,2°
Argument perihelia: 129,5°
Střední anomálie: 347,9°
Epocha: 2022 OCT 29 22:40:19
orbit plot

NeinteraktivnĂ­ graf | InteraktivnĂ­ graf

position vs time
speed and acceleration