🇳🇴 🇬🇧 🇩🇪 🇨🇿 🇫🇮

Meteor Götenen yllä 2022-10-29 22:40:19 UTC

KML-tiedosto  |  Interaktiivinen kartta

Kartta näyttää meteorin suuntahavainnot. Vaaleammat viivat näyttävät suunnat havaintoasemilta meteorin ilmestyessä, ja tummemmat viivat näyttävät, missä se viimeksi nähtiin. Sininen nuoli näyttää meteorin näkyvän lennon.

static map
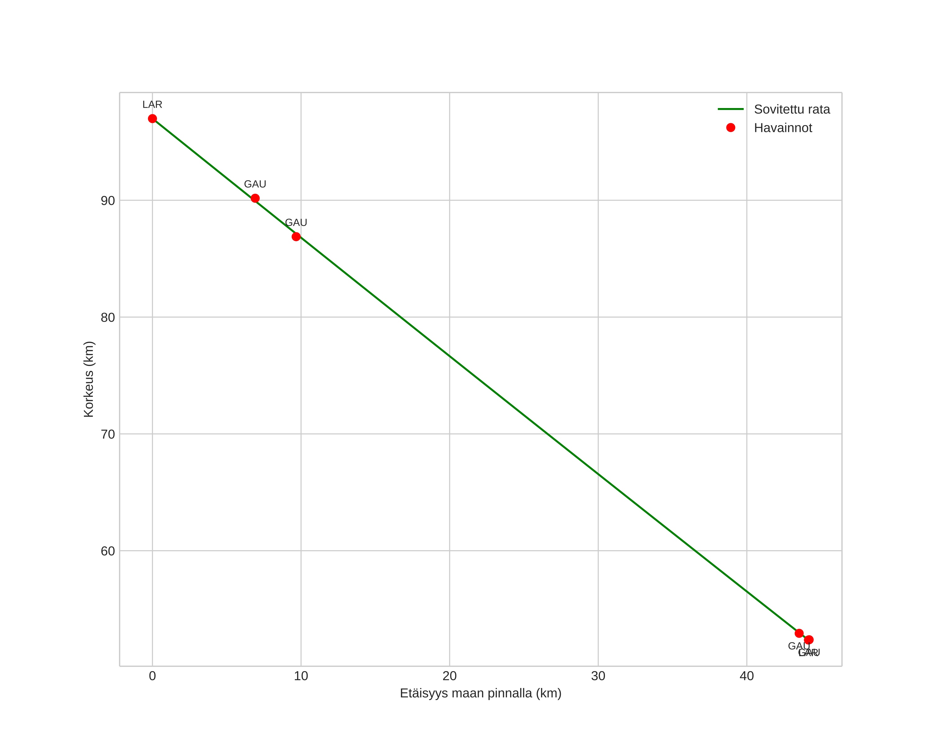
height profile
Meteorin ilmakehärata:
Alkukorkeus: 95,4 km
Loppukorkeus: 51,1 km
Alkupiste: 58,269N 13,946E
Loppupiste: 58,627N 13,540E
Suunta: 329,5°
Kallistuskulma: 43,7°
Tulonopeus: 34,8 km/s
Radiantin R,A,: 03:36 (54,1°)
Radiantin Dekl,: 13,7°
Meteoriparvi: Pohjoiset tauridit
Meteoroidin rataelementit:
Perihelietäisyys: 0,226 AU
Eksentrisyys: 0,895
Inklinaatio: 9,2°
Nousevan solmun pituus: 36,2°
Perihelin argumentti: 129,5°
Keskianomalia: 347,9°
Epookki: 2022 OCT 29 22:40:19
orbit plot

Ei-interaktiivinen kuvaaja | Interaktiivinen kuvaaja

position vs time
speed and acceleration