🇳🇴 🇬🇧 🇩🇪 🇨🇿 🇫🇮

Meteor, poloha: Fossby 2022-10-30 03:54:12 UTC

Soubor KML  |  InteraktivnĂ­ mapa

Mapa zobrazuje dráhy meteoru. Světlejší čáry ukazují směry od pozorovacích stanic při objevení se meteoru a tmavší čáry, kde byl naposledy viděn. Modrá šipka značí viditelnou dráhu meteoru.

static map
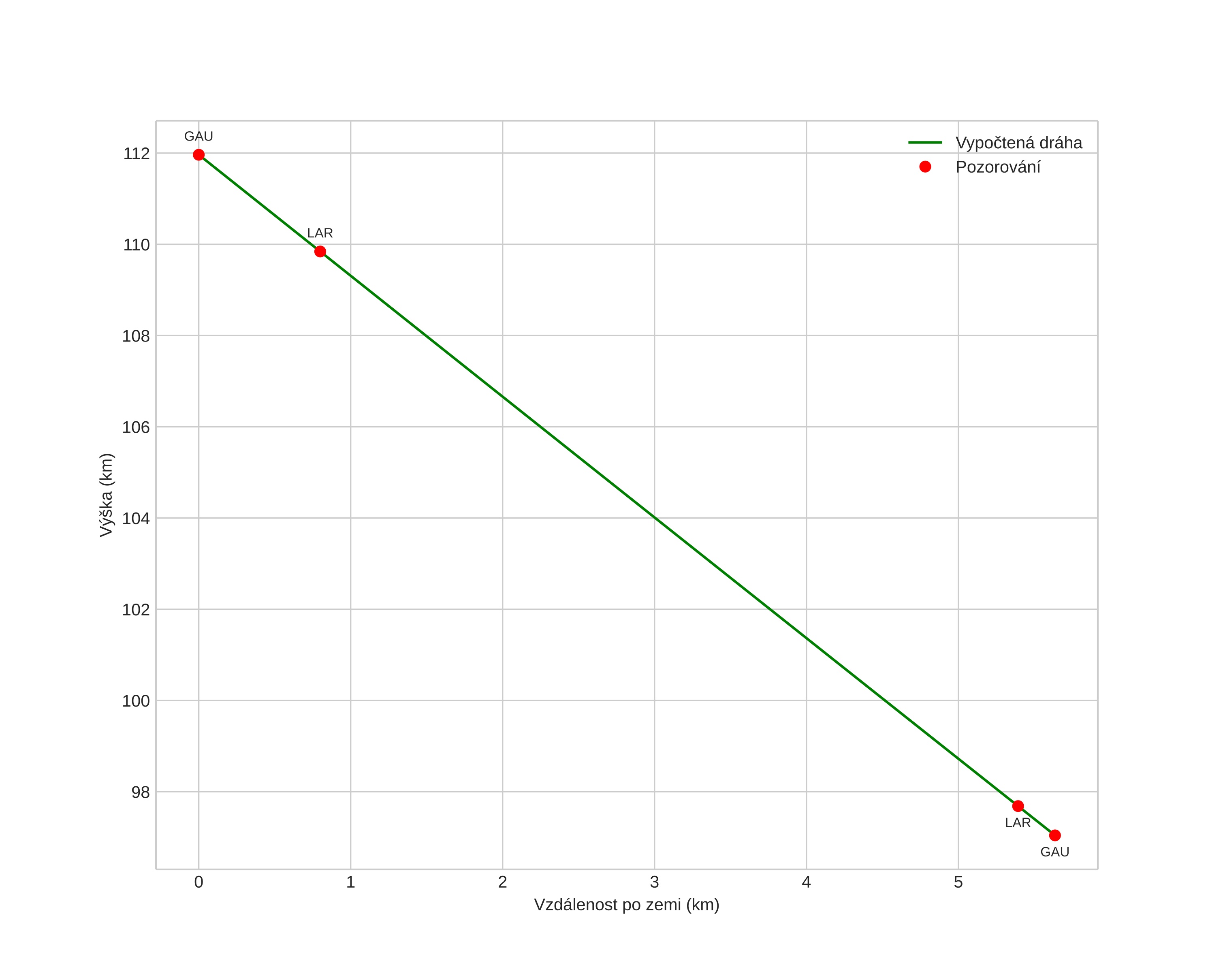
height profile
Atmosférická dráha meteoru:
Počáteční výška: 112,0 km
Konečná výška: 97,0 km
Počáteční poloha: 58,992N 11,702E
Konečná poloha: 59,028N 11,632E
Směr: 315,1°
Sklon: 69,4°
VstupnĂ­ rychlost: 72,9 km/s
Rektascenze radiantu: 08:30 (127,7°)
Deklinace radiantu: 42,2°
MeteorickĂ˝ roj: sporadickĂ˝
Elementy dráhy meteoroidu:
Vzdálenost v periheliu: 0,963 AU
Excentricita: 1,376
Sklon dráhy: 142,5°
Délka vzestupného uzlu: 216,4°
Argument perihelia: 198,6°
Střední anomálie: -2,8°
Epocha: 2022 OCT 30 03:54:12
orbit plot

NeinteraktivnĂ­ graf | InteraktivnĂ­ graf

position vs time
speed and acceleration

Gaustatoppen (GAU) cam3


gnomonic
Videa
• Gnomonická
• Gnomonická se souřadnicemi
• Původní
• Původní se souřadnicemi
Obrázky
• Gnomonická
• Gnomonická se souřadnicemi
• Gnomonická s popisky
• Původní
• Původní se souřadnicemi
Textové soubory
• Detekce
• Pozorování
• Souřadnice
• Protokol
Jasnost