🇳🇴 🇬🇧 🇩🇪 🇨🇿 🇫🇮

Meteor, poloha: Tjøme 2022-10-31 19:15:52 UTC

Soubor KML  |  InteraktivnĂ­ mapa

Mapa zobrazuje dráhy meteoru. Světlejší čáry ukazují směry od pozorovacích stanic při objevení se meteoru a tmavší čáry, kde byl naposledy viděn. Modrá šipka značí viditelnou dráhu meteoru.

static map
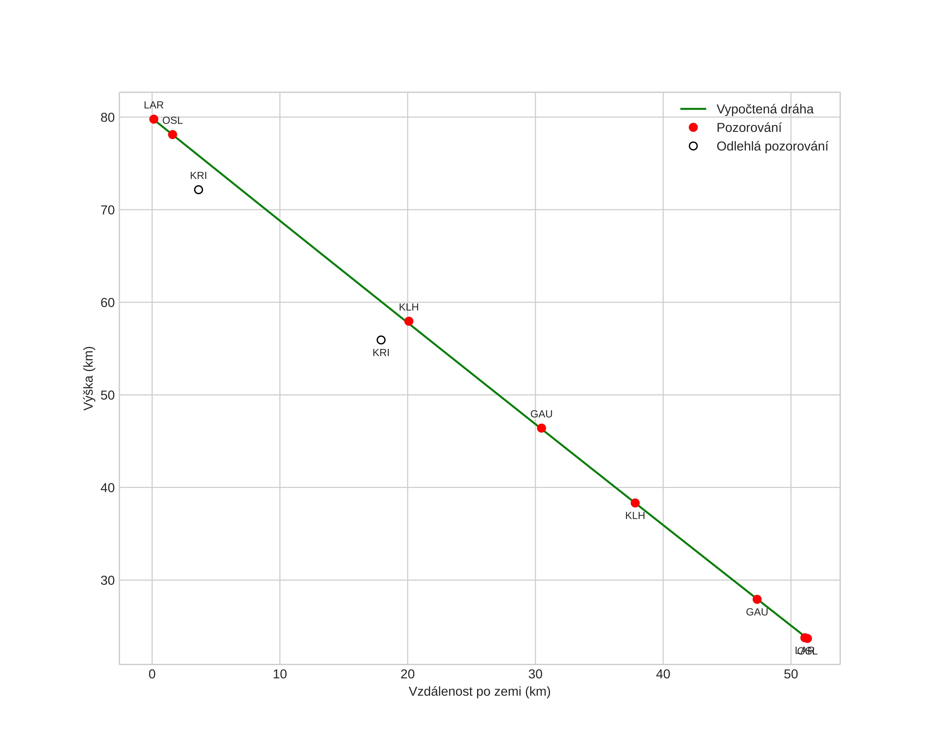
height profile
Atmosférická dráha meteoru:
Počáteční výška: 81,0 km
Konečná výška: 23,0 km
Počáteční poloha: 58,686N 10,896E
Konečná poloha: 59,082N 10,402E
Směr: 327,4°
Sklon: 47,9°
VstupnĂ­ rychlost: 14,1 km/s
Rektascenze radiantu: 00:16 (4,2°)
Deklinace radiantu: 9,7°
MeteorickĂ˝ roj: sporadickĂ˝
Elementy dráhy meteoroidu:
Vzdálenost v periheliu: 0,911 AU
Excentricita: 0,435
Sklon dráhy: 1,8°
Délka vzestupného uzlu: 218,0°
Argument perihelia: 223,4°
Střední anomálie: 343,7°
Epocha: 2022 OCT 31 19:15:52
orbit plot

NeinteraktivnĂ­ graf | InteraktivnĂ­ graf

position vs time
speed and acceleration