🇳🇴 🇬🇧 🇩🇪 🇨🇿 🇫🇮

Meteor Tjømen yllä 2022-10-31 19:15:52 UTC

KML-tiedosto  |  Interaktiivinen kartta

Kartta näyttää meteorin suuntahavainnot. Vaaleammat viivat näyttävät suunnat havaintoasemilta meteorin ilmestyessä, ja tummemmat viivat näyttävät, missä se viimeksi nähtiin. Sininen nuoli näyttää meteorin näkyvän lennon.

static map
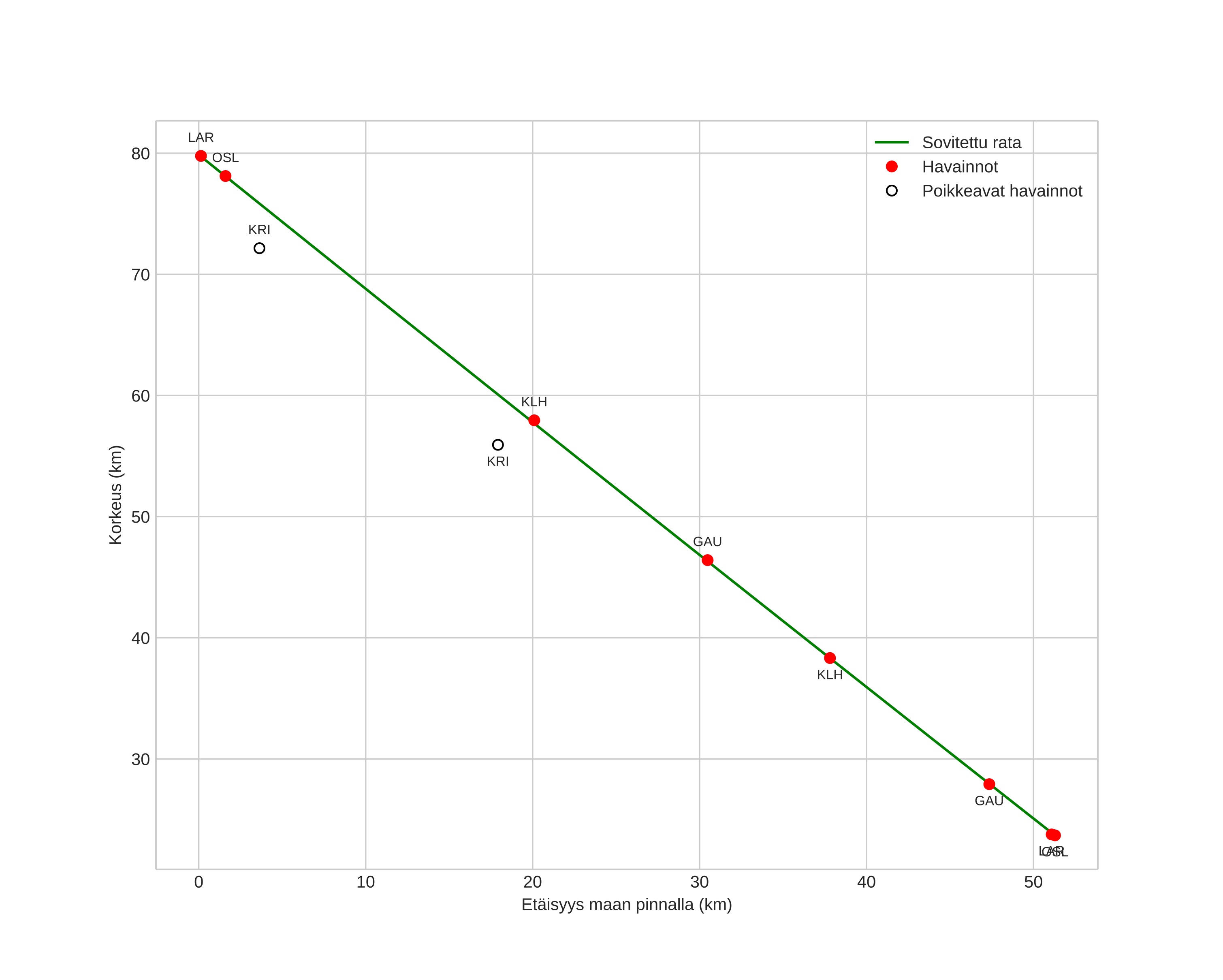
height profile
Meteorin ilmakehärata:
Alkukorkeus: 81,0 km
Loppukorkeus: 23,0 km
Alkupiste: 58,686N 10,896E
Loppupiste: 59,082N 10,402E
Suunta: 327,4°
Kallistuskulma: 47,9°
Tulonopeus: 14,1 km/s
Radiantin R,A,: 00:16 (4,2°)
Radiantin Dekl,: 9,7°
Meteoriparvi: Sporadinen
Meteoroidin rataelementit:
Perihelietäisyys: 0,911 AU
Eksentrisyys: 0,435
Inklinaatio: 1,8°
Nousevan solmun pituus: 218,0°
Perihelin argumentti: 223,4°
Keskianomalia: 343,7°
Epookki: 2022 OCT 31 19:15:52
orbit plot

Ei-interaktiivinen kuvaaja | Interaktiivinen kuvaaja

position vs time
speed and acceleration