🇳🇴 🇬🇧 🇩🇪 🇨🇿 🇫🇮

Meteor, poloha: Stavern 2022-10-31 22:11:20 UTC

Soubor KML  |  InteraktivnĂ­ mapa

Mapa zobrazuje dráhy meteoru. Světlejší čáry ukazují směry od pozorovacích stanic při objevení se meteoru a tmavší čáry, kde byl naposledy viděn. Modrá šipka značí viditelnou dráhu meteoru.

static map
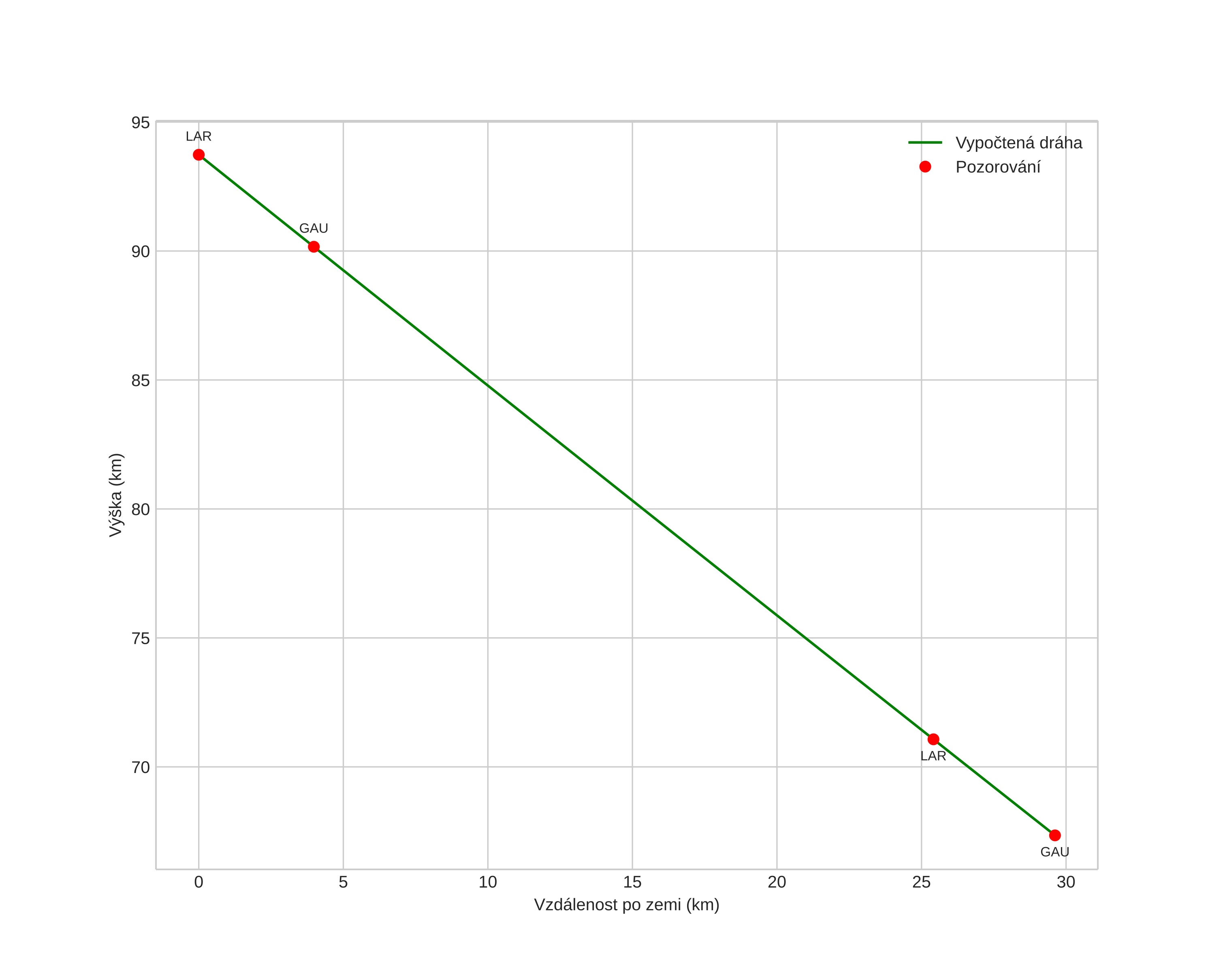
height profile
Atmosférická dráha meteoru:
Počáteční výška: 93,8 km
Konečná výška: 67,4 km
Počáteční poloha: 58,473N 10,267E
Konečná poloha: 58,685N 9,958E
Směr: 322,9°
Sklon: 41,7°
VstupnĂ­ rychlost: 32,4 km/s
Rektascenze radiantu: 03:22 (50,7°)
Deklinace radiantu: 13,2°
MeteorickĂ˝ roj: JiĹľnĂ­ Tauridy
Elementy dráhy meteoroidu:
Vzdálenost v periheliu: 0,316 AU
Excentricita: 0,869
Sklon dráhy: 6,8°
Délka vzestupného uzlu: 38,2°
Argument perihelia: 117,8°
Střední anomálie: 349,2°
Epocha: 2022 OCT 31 22:11:20
orbit plot

NeinteraktivnĂ­ graf | InteraktivnĂ­ graf

position vs time
speed and acceleration