🇳🇴 🇬🇧 🇩🇪 🇨🇿 🇫🇮

Meteor Stavernin yllä 2022-10-31 22:11:20 UTC

KML-tiedosto  |  Interaktiivinen kartta

Kartta näyttää meteorin suuntahavainnot. Vaaleammat viivat näyttävät suunnat havaintoasemilta meteorin ilmestyessä, ja tummemmat viivat näyttävät, missä se viimeksi nähtiin. Sininen nuoli näyttää meteorin näkyvän lennon.

static map
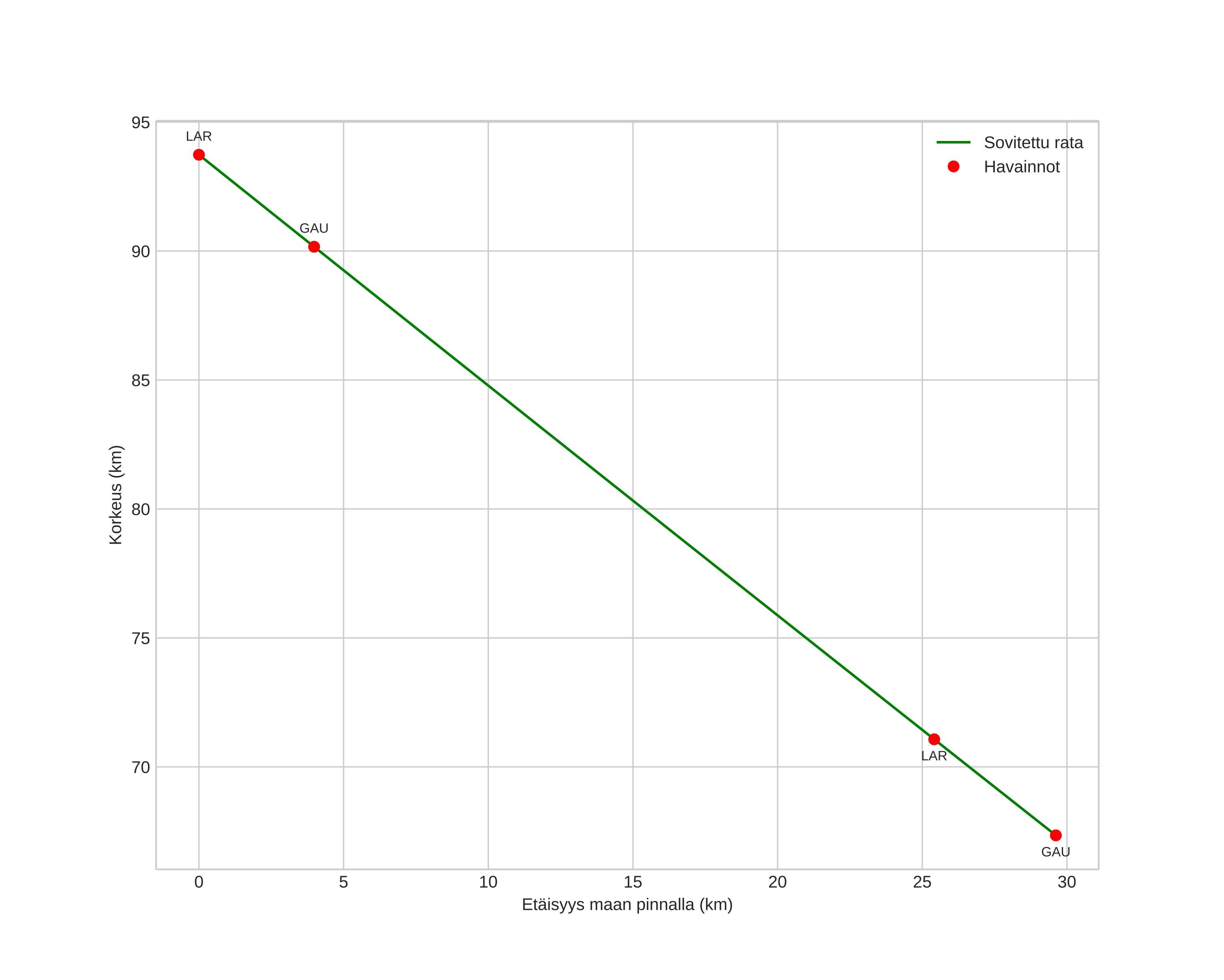
height profile
Meteorin ilmakehärata:
Alkukorkeus: 93,8 km
Loppukorkeus: 67,4 km
Alkupiste: 58,473N 10,267E
Loppupiste: 58,685N 9,958E
Suunta: 322,9°
Kallistuskulma: 41,7°
Tulonopeus: 32,4 km/s
Radiantin R,A,: 03:22 (50,7°)
Radiantin Dekl,: 13,2°
Meteoriparvi: Eteläiset tauridit
Meteoroidin rataelementit:
Perihelietäisyys: 0,316 AU
Eksentrisyys: 0,869
Inklinaatio: 6,8°
Nousevan solmun pituus: 38,2°
Perihelin argumentti: 117,8°
Keskianomalia: 349,2°
Epookki: 2022 OCT 31 22:11:20
orbit plot

Ei-interaktiivinen kuvaaja | Interaktiivinen kuvaaja

position vs time
speed and acceleration