🇳🇴 🇬🇧 🇩🇪 🇨🇿 🇫🇮

Meteor, poloha: Ed 2022-11-01 00:24:38 UTC

Soubor KML  |  InteraktivnĂ­ mapa

Mapa zobrazuje dráhy meteoru. Světlejší čáry ukazují směry od pozorovacích stanic při objevení se meteoru a tmavší čáry, kde byl naposledy viděn. Modrá šipka značí viditelnou dráhu meteoru.

static map
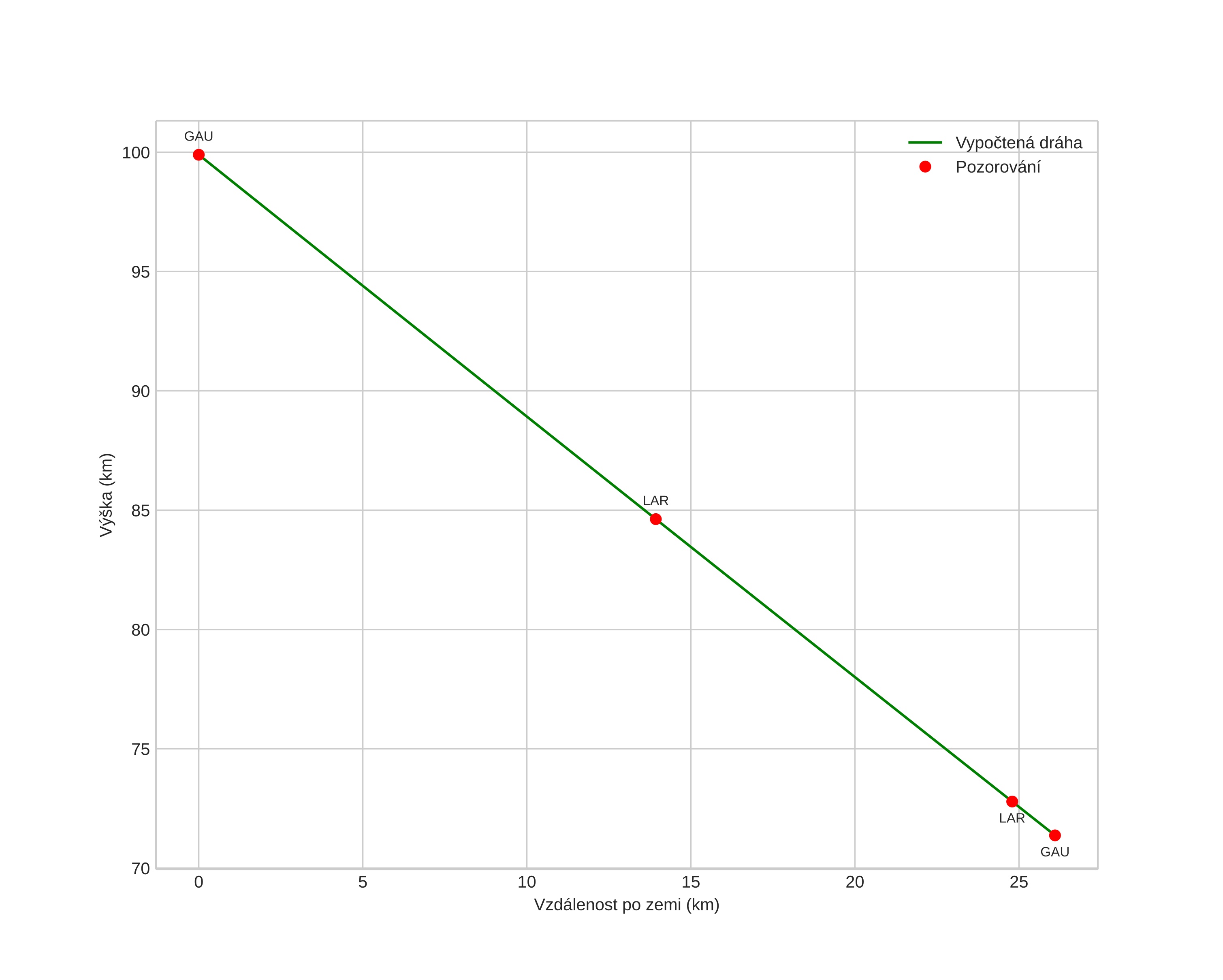
height profile
Atmosférická dráha meteoru:
Počáteční výška: 100,4 km
Konečná výška: 72,1 km
Počáteční poloha: 58,907N 11,866E
Konečná poloha: 59,139N 11,942E
Směr: 9,4°
Sklon: 47,2°
VstupnĂ­ rychlost: 30,9 km/s
Rektascenze radiantu: 03:22 (50,6°)
Deklinace radiantu: 14,7°
MeteorickĂ˝ roj: JiĹľnĂ­ Tauridy
Elementy dráhy meteoroidu:
Vzdálenost v periheliu: 0,324 AU
Excentricita: 0,839
Sklon dráhy: 4,6°
Délka vzestupného uzlu: 38,3°
Argument perihelia: 118,3°
Střední anomálie: 345,6°
Epocha: 2022 NOV 01 00:24:38
orbit plot

NeinteraktivnĂ­ graf | InteraktivnĂ­ graf

position vs time
speed and acceleration