🇳🇴 🇬🇧 🇩🇪 🇨🇿 🇫🇮

Meteor Edin yllä 2022-11-01 00:24:38 UTC

KML-tiedosto  |  Interaktiivinen kartta

Kartta näyttää meteorin suuntahavainnot. Vaaleammat viivat näyttävät suunnat havaintoasemilta meteorin ilmestyessä, ja tummemmat viivat näyttävät, missä se viimeksi nähtiin. Sininen nuoli näyttää meteorin näkyvän lennon.

static map
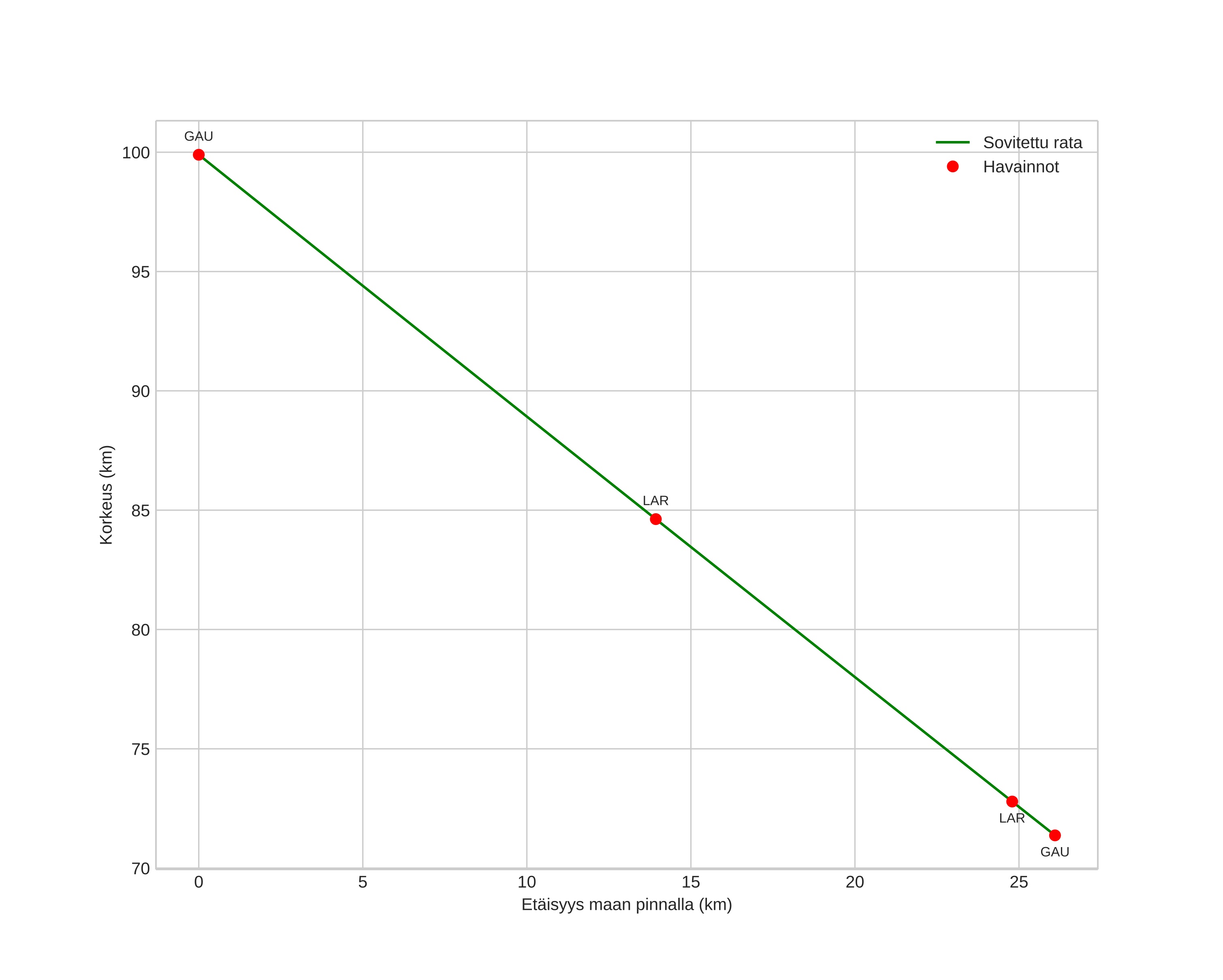
height profile
Meteorin ilmakehärata:
Alkukorkeus: 100,4 km
Loppukorkeus: 72,1 km
Alkupiste: 58,907N 11,866E
Loppupiste: 59,139N 11,942E
Suunta: 9,4°
Kallistuskulma: 47,2°
Tulonopeus: 30,9 km/s
Radiantin R,A,: 03:22 (50,6°)
Radiantin Dekl,: 14,7°
Meteoriparvi: Eteläiset tauridit
Meteoroidin rataelementit:
Perihelietäisyys: 0,324 AU
Eksentrisyys: 0,839
Inklinaatio: 4,6°
Nousevan solmun pituus: 38,3°
Perihelin argumentti: 118,3°
Keskianomalia: 345,6°
Epookki: 2022 NOV 01 00:24:38
orbit plot

Ei-interaktiivinen kuvaaja | Interaktiivinen kuvaaja

position vs time
speed and acceleration