🇳🇴 🇬🇧 🇩🇪 🇨🇿 🇫🇮

Meteor, poloha: Røst 2022-11-01 23:53:23 UTC

Soubor KML  |  InteraktivnĂ­ mapa

Mapa zobrazuje dráhy meteoru. Světlejší čáry ukazují směry od pozorovacích stanic při objevení se meteoru a tmavší čáry, kde byl naposledy viděn. Modrá šipka značí viditelnou dráhu meteoru.

static map
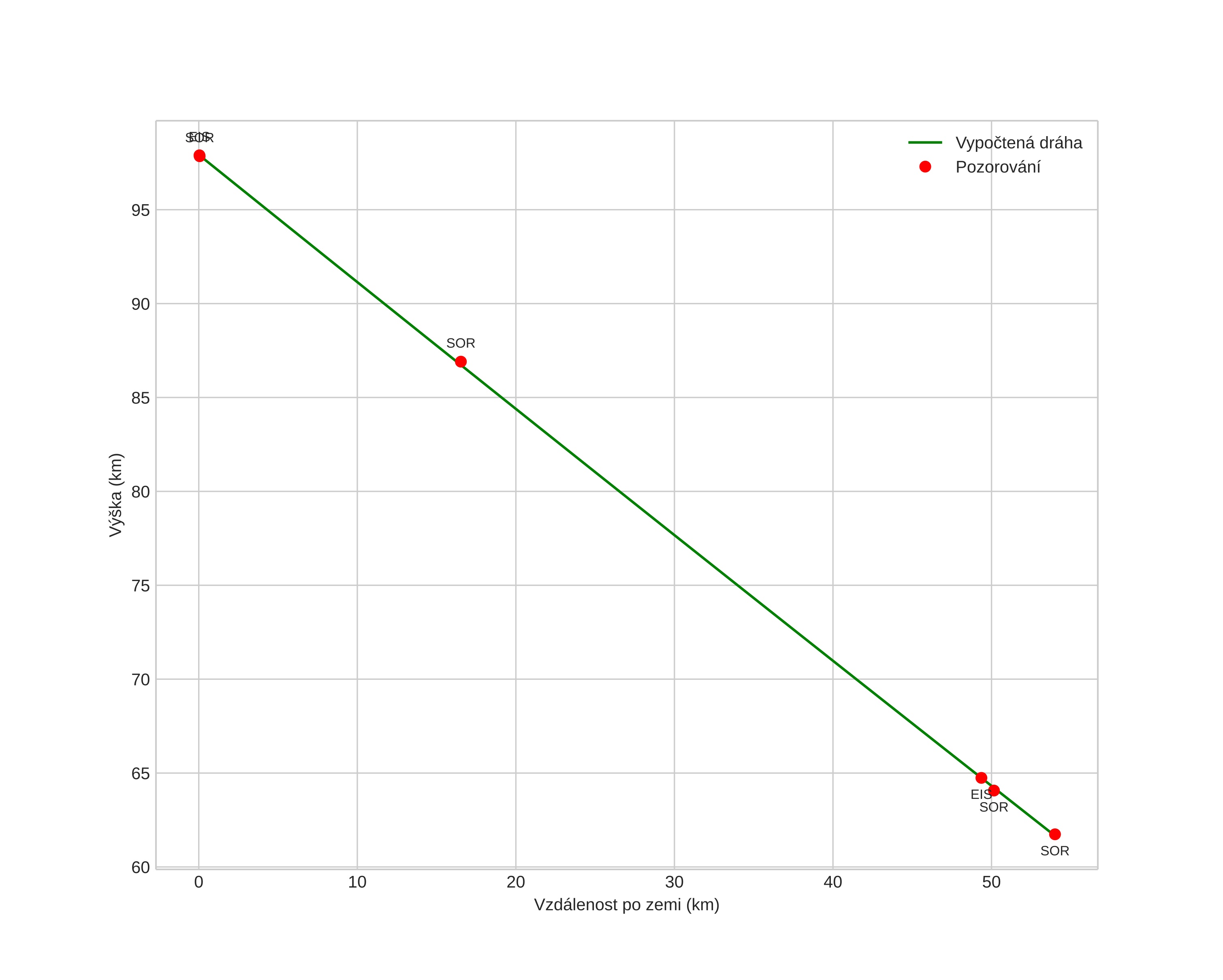
height profile
Atmosférická dráha meteoru:
Počáteční výška: 95,3 km
Konečná výška: 60,0 km
Počáteční poloha: 67,940N 11,088E
Konečná poloha: 68,379N 11,553E
Směr: 21,3°
Sklon: 33,9°
VstupnĂ­ rychlost: 29,4 km/s
Rektascenze radiantu: 02:06 (31,6°)
Deklinace radiantu: 10,6°
MeteorickĂ˝ roj: sporadickĂ˝
Elementy dráhy meteoroidu:
Vzdálenost v periheliu: 0,591 AU
Excentricita: 1,037
Sklon dráhy: 1,7°
Délka vzestupného uzlu: 39,3°
Argument perihelia: 78,1°
Střední anomálie: -0,6°
Epocha: 2022 NOV 01 23:53:23
orbit plot

NeinteraktivnĂ­ graf | InteraktivnĂ­ graf

position vs time
speed and acceleration