🇳🇴 🇬🇧 🇩🇪 🇨🇿 🇫🇮

Meteor Røstin yllä 2022-11-01 23:53:23 UTC

KML-tiedosto  |  Interaktiivinen kartta

Kartta näyttää meteorin suuntahavainnot. Vaaleammat viivat näyttävät suunnat havaintoasemilta meteorin ilmestyessä, ja tummemmat viivat näyttävät, missä se viimeksi nähtiin. Sininen nuoli näyttää meteorin näkyvän lennon.

static map
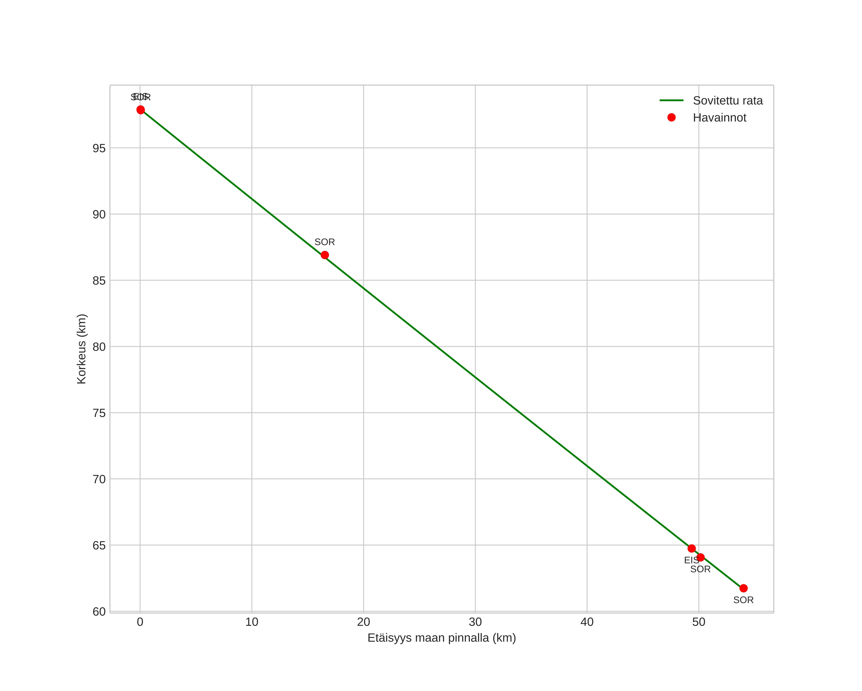
height profile
Meteorin ilmakehärata:
Alkukorkeus: 95,3 km
Loppukorkeus: 60,0 km
Alkupiste: 67,940N 11,088E
Loppupiste: 68,379N 11,553E
Suunta: 21,3°
Kallistuskulma: 33,9°
Tulonopeus: 29,4 km/s
Radiantin R,A,: 02:06 (31,6°)
Radiantin Dekl,: 10,6°
Meteoriparvi: Sporadinen
Meteoroidin rataelementit:
Perihelietäisyys: 0,591 AU
Eksentrisyys: 1,037
Inklinaatio: 1,7°
Nousevan solmun pituus: 39,3°
Perihelin argumentti: 78,1°
Keskianomalia: -0,6°
Epookki: 2022 NOV 01 23:53:23
orbit plot

Ei-interaktiivinen kuvaaja | Interaktiivinen kuvaaja

position vs time
speed and acceleration