🇳🇴 🇬🇧 🇩🇪 🇨🇿 🇫🇮

Meteor, poloha: Mysen 2022-11-02 18:20:25 UTC

Soubor KML  |  InteraktivnĂ­ mapa

Mapa zobrazuje dráhy meteoru. Světlejší čáry ukazují směry od pozorovacích stanic při objevení se meteoru a tmavší čáry, kde byl naposledy viděn. Modrá šipka značí viditelnou dráhu meteoru.

static map
height profile
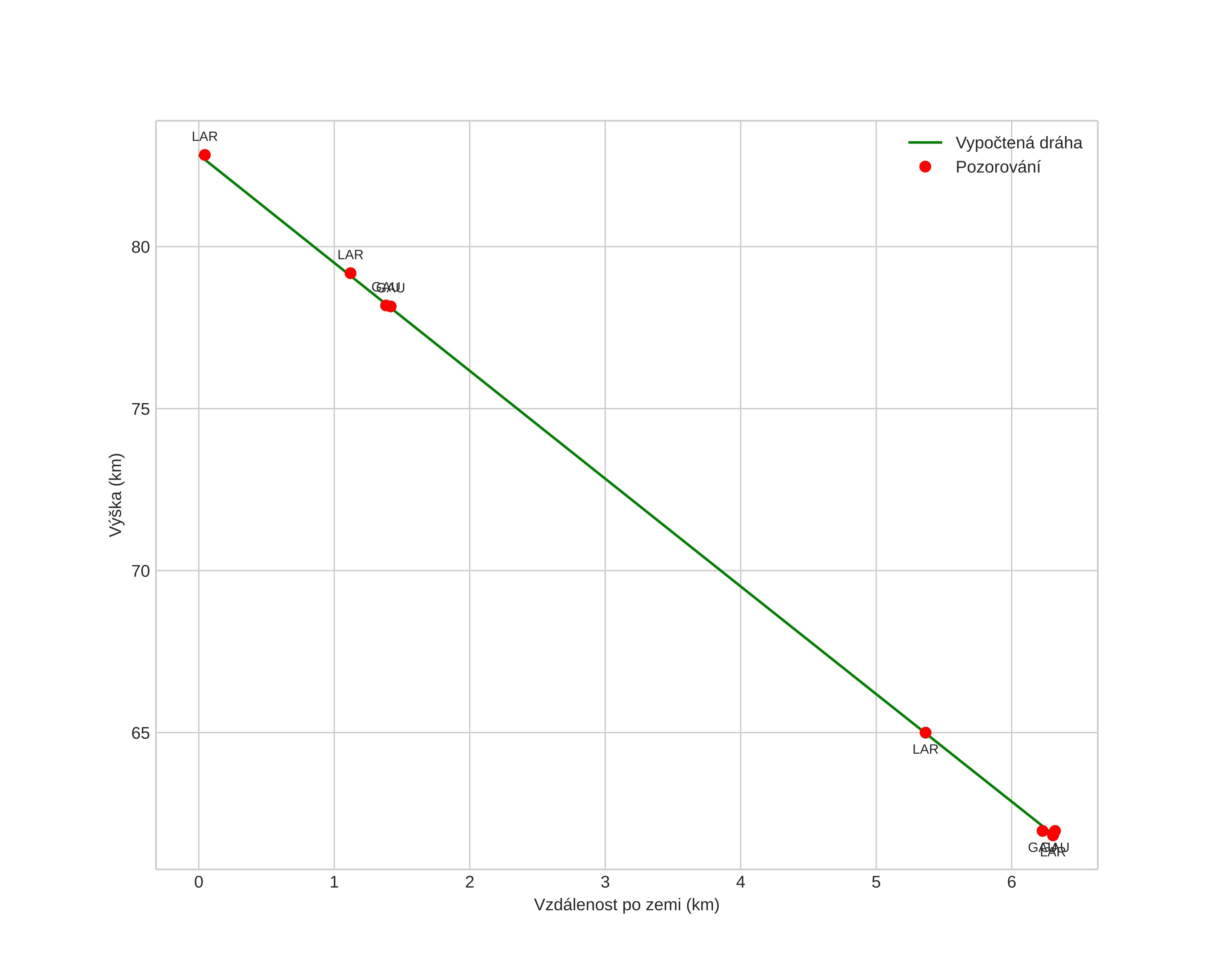
Atmosférická dráha meteoru:
Počáteční výška: 83,0 km
Konečná výška: 61,8 km
Počáteční poloha: 59,585N 11,225E
Konečná poloha: 59,593N 11,334E
Směr: 82,3°
Sklon: 73,7°
VstupnĂ­ rychlost: 22,3 km/s
Rektascenze radiantu: 19:49 (297,5°)
Deklinace radiantu: 52,9°
MeteorickĂ˝ roj: sporadickĂ˝
Elementy dráhy meteoroidu:
Vzdálenost v periheliu: 0,988 AU
Excentricita: 0,841
Sklon dráhy: 27,0°
Délka vzestupného uzlu: 220,0°
Argument perihelia: 187,5°
Střední anomálie: 359,6°
Epocha: 2022 NOV 02 18:20:25
orbit plot

NeinteraktivnĂ­ graf | InteraktivnĂ­ graf

position vs time
speed and acceleration