🇳🇴 🇬🇧 🇩🇪 🇨🇿 🇫🇮

Meteor Mysenin yllä 2022-11-02 18:20:25 UTC

KML-tiedosto  |  Interaktiivinen kartta

Kartta näyttää meteorin suuntahavainnot. Vaaleammat viivat näyttävät suunnat havaintoasemilta meteorin ilmestyessä, ja tummemmat viivat näyttävät, missä se viimeksi nähtiin. Sininen nuoli näyttää meteorin näkyvän lennon.

static map
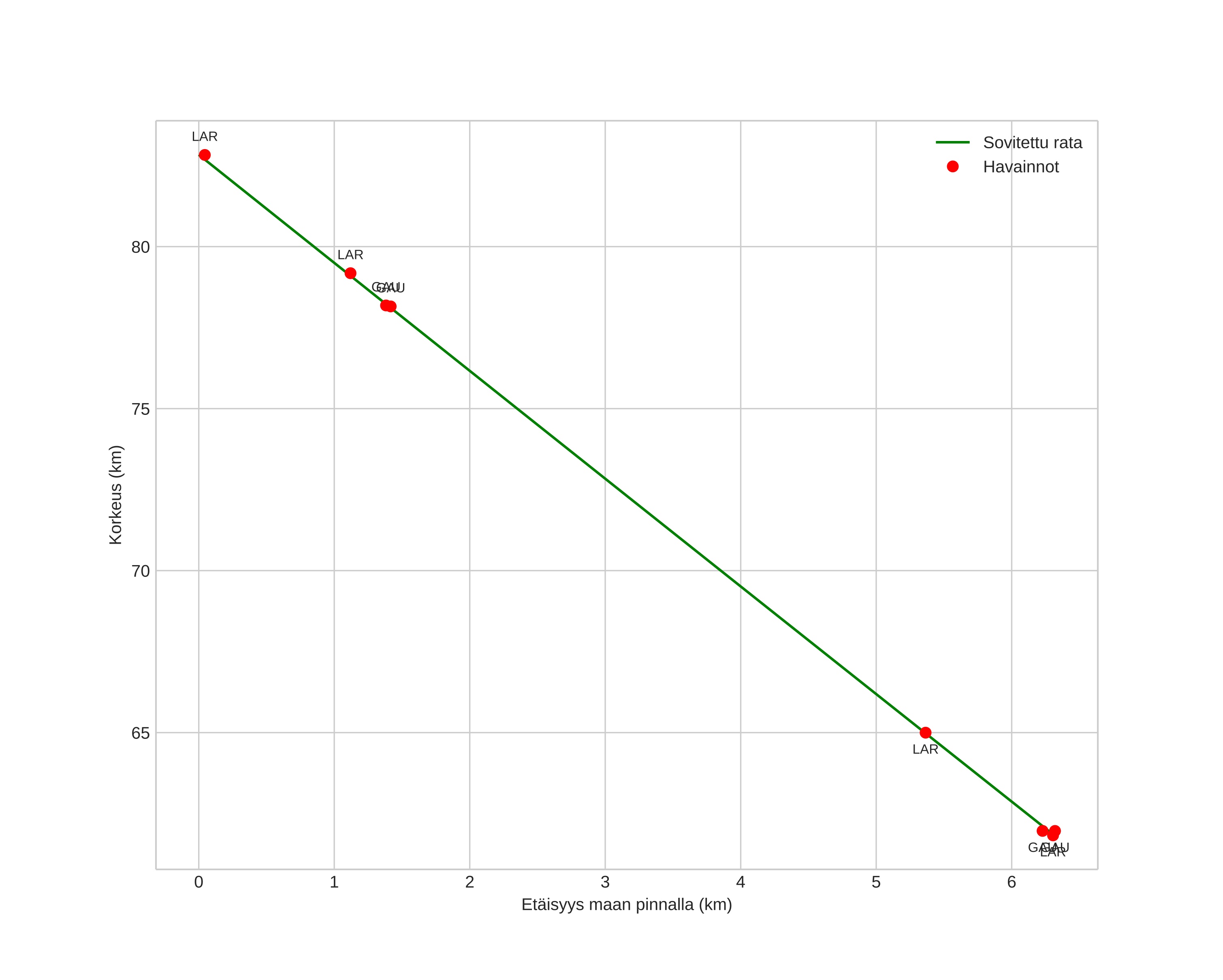
height profile
Meteorin ilmakehärata:
Alkukorkeus: 83,0 km
Loppukorkeus: 61,8 km
Alkupiste: 59,585N 11,225E
Loppupiste: 59,593N 11,334E
Suunta: 82,3°
Kallistuskulma: 73,7°
Tulonopeus: 22,3 km/s
Radiantin R,A,: 19:49 (297,5°)
Radiantin Dekl,: 52,9°
Meteoriparvi: Sporadinen
Meteoroidin rataelementit:
Perihelietäisyys: 0,988 AU
Eksentrisyys: 0,841
Inklinaatio: 27,0°
Nousevan solmun pituus: 220,0°
Perihelin argumentti: 187,5°
Keskianomalia: 359,6°
Epookki: 2022 NOV 02 18:20:25
orbit plot

Ei-interaktiivinen kuvaaja | Interaktiivinen kuvaaja

position vs time
speed and acceleration