🇳🇴 🇬🇧 🇩🇪 🇨🇿 🇫🇮

Meteor, poloha: Bø 2022-11-02 22:23:18 UTC

Soubor KML  |  InteraktivnĂ­ mapa

Mapa zobrazuje dráhy meteoru. Světlejší čáry ukazují směry od pozorovacích stanic při objevení se meteoru a tmavší čáry, kde byl naposledy viděn. Modrá šipka značí viditelnou dráhu meteoru.

static map
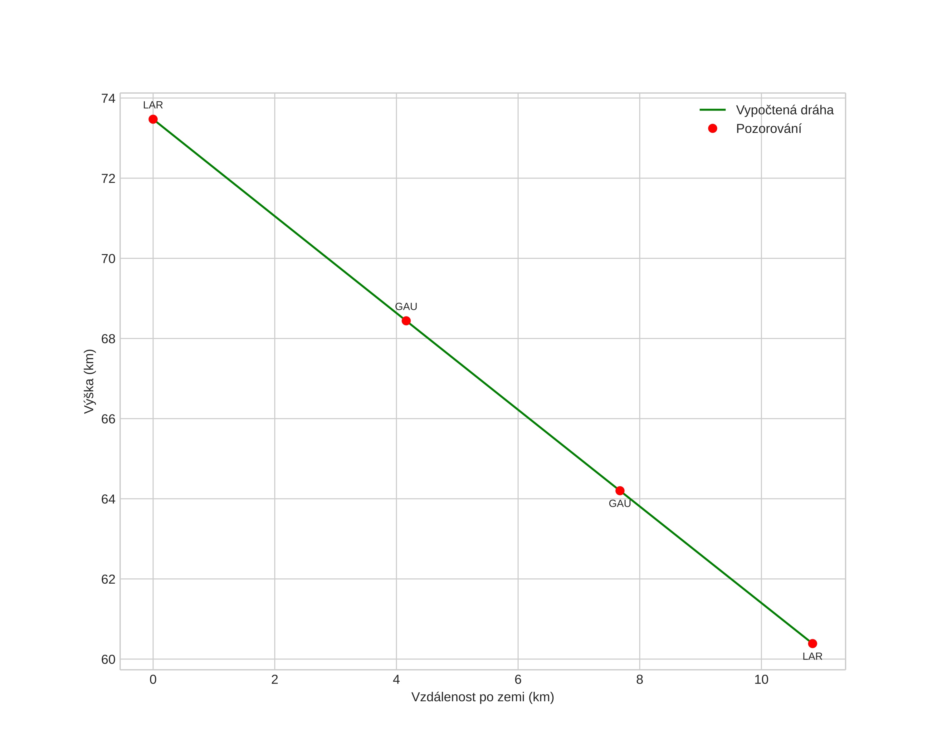
height profile
Atmosférická dráha meteoru:
Počáteční výška: 73,5 km
Konečná výška: 60,4 km
Počáteční poloha: 59,364N 9,006E
Konečná poloha: 59,444N 9,114E
Směr: 34,2°
Sklon: 50,3°
VstupnĂ­ rychlost: 15,4 km/s
Rektascenze radiantu: 00:01 (0,3°)
Deklinace radiantu: 15,7°
MeteorickĂ˝ roj: sporadickĂ˝
Elementy dráhy meteoroidu:
Vzdálenost v periheliu: 0,908 AU
Excentricita: 0,572
Sklon dráhy: 4,2°
Délka vzestupného uzlu: 220,1°
Argument perihelia: 220,0°
Střední anomálie: 350,5°
Epocha: 2022 NOV 02 22:23:18
orbit plot

NeinteraktivnĂ­ graf | InteraktivnĂ­ graf

position vs time
speed and acceleration