🇳🇴 🇬🇧 🇩🇪 🇨🇿 🇫🇮

Meteor über Bø 2022-11-02 22:23:18 UTC

KML-Datei  |  Interaktive Karte

Die Karte zeigt die Peilungen für den Meteor. Die helleren Linien zeigen die Richtungen von den Beobachtungsorten beim Erscheinen des Meteors, und die dunkleren Linien, wo er zuletzt gesehen wurde. Der blaue Pfeil zeigt die sichtbare Bahn des Meteors.

static map
height profile
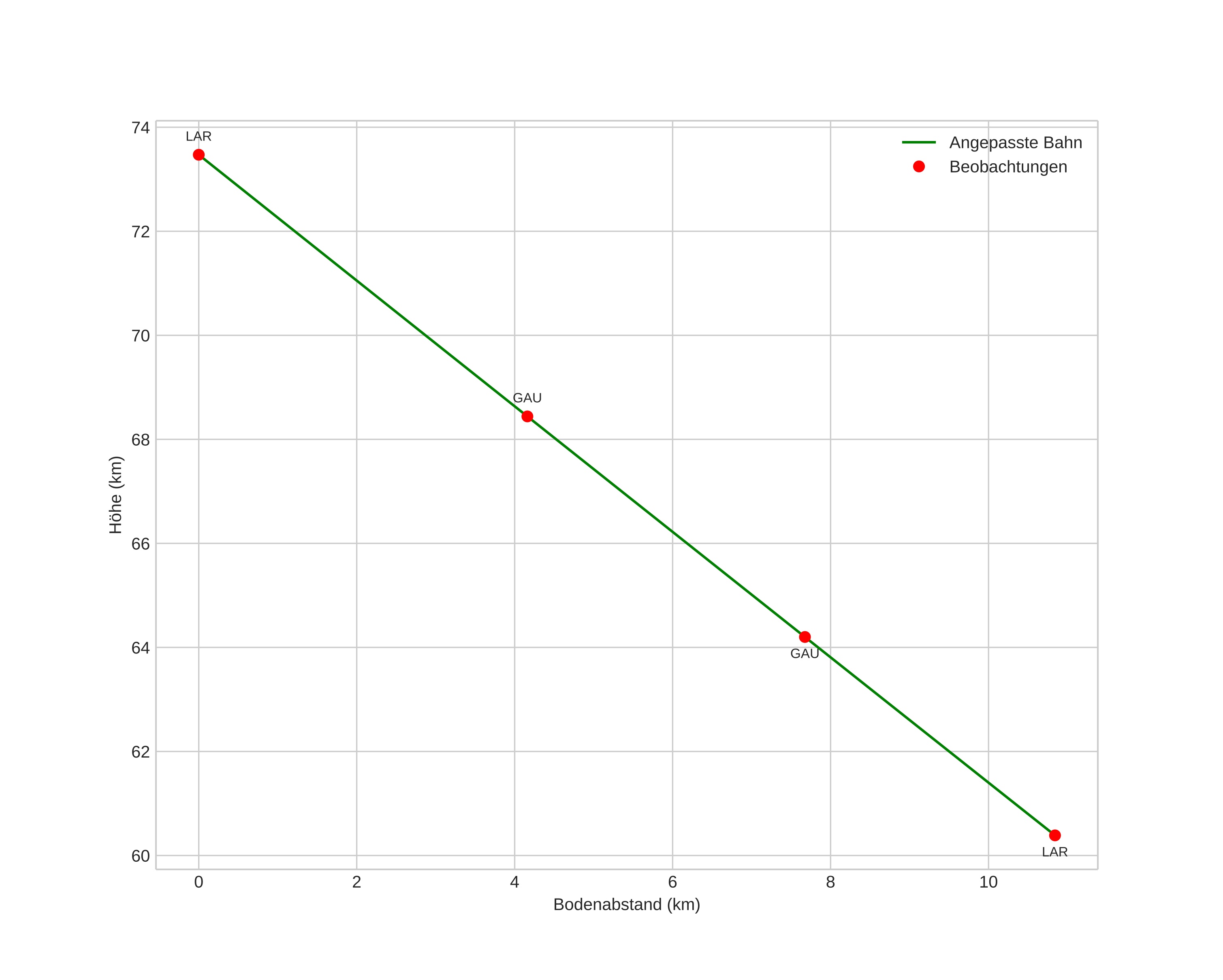
Atmosphärische Bahn des Meteors:
Anfangshöhe: 73,5 km
Endhöhe: 60,4 km
Startposition: 59,364N 9,006E
Endposition: 59,444N 9,114E
Richtung: 34,2°
Neigungswinkel: 50,3°
Eintrittsgeschwindigkeit: 15,4 km/s
Rektaszension des Radianten: 00:01 (0,3°)
Deklination des Radianten: 15,7°
Meteorstrom: sporadisch
Bahnelemente des Meteoroiden:
Periheldistanz: 0,908 AU
Exzentrizität: 0,572
Inklination: 4,2°
Länge des aufsteigenden Knotens: 220,1°
Argument des Perihels: 220,0°
Mittlere Anomalie: 350,5°
Epoche: 2022 NOV 02 22:23:18
orbit plot

Nicht-interaktives Diagramm | Interaktives Diagramm

position vs time
speed and acceleration