🇳🇴 🇬🇧 🇩🇪 🇨🇿 🇫🇮

Meteor, poloha: Skjeberg 2022-11-02 22:50:48 UTC

Soubor KML  |  InteraktivnĂ­ mapa

Mapa zobrazuje dráhy meteoru. Světlejší čáry ukazují směry od pozorovacích stanic při objevení se meteoru a tmavší čáry, kde byl naposledy viděn. Modrá šipka značí viditelnou dráhu meteoru.

static map
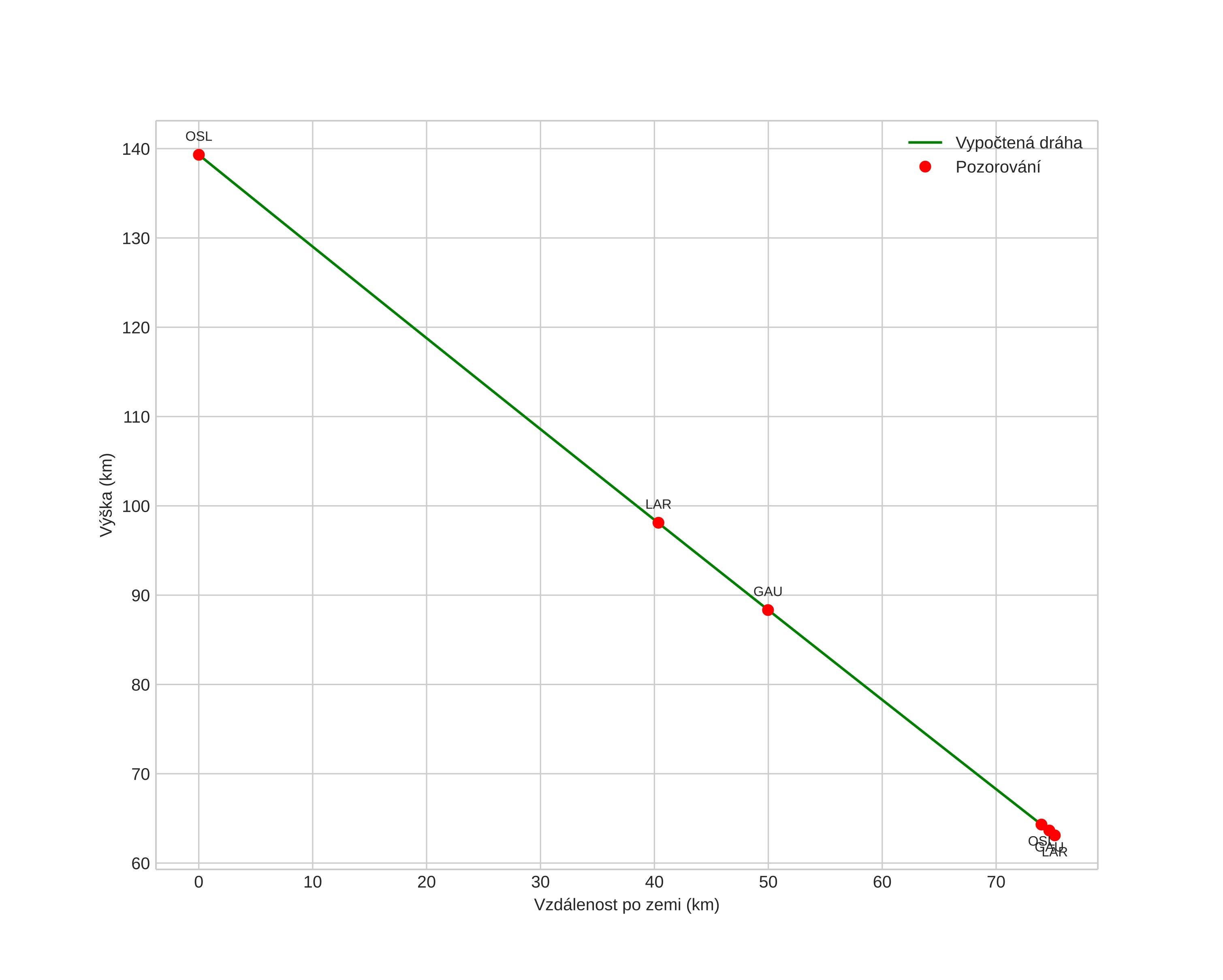
height profile
Atmosférická dráha meteoru:
Počáteční výška: 140,8 km
Konečná výška: 63,3 km
Počáteční poloha: 58,498N 11,677E
Konečná poloha: 59,135N 11,153E
Směr: 337,1°
Sklon: 45,2°
VstupnĂ­ rychlost: 32,0 km/s
Rektascenze radiantu: 03:30 (52,5°)
Deklinace radiantu: 13,8°
MeteorickĂ˝ roj: JiĹľnĂ­ Tauridy
Elementy dráhy meteoroidu:
Vzdálenost v periheliu: 0,322 AU
Excentricita: 0,862
Sklon dráhy: 6,5°
Délka vzestupného uzlu: 40,2°
Argument perihelia: 117,4°
Střední anomálie: 348,6°
Epocha: 2022 NOV 02 22:50:48
orbit plot

NeinteraktivnĂ­ graf | InteraktivnĂ­ graf

position vs time
speed and acceleration