🇳🇴 🇬🇧 🇩🇪 🇨🇿 🇫🇮

Meteor Skjebergin yllä 2022-11-02 22:50:48 UTC

KML-tiedosto  |  Interaktiivinen kartta

Kartta näyttää meteorin suuntahavainnot. Vaaleammat viivat näyttävät suunnat havaintoasemilta meteorin ilmestyessä, ja tummemmat viivat näyttävät, missä se viimeksi nähtiin. Sininen nuoli näyttää meteorin näkyvän lennon.

static map
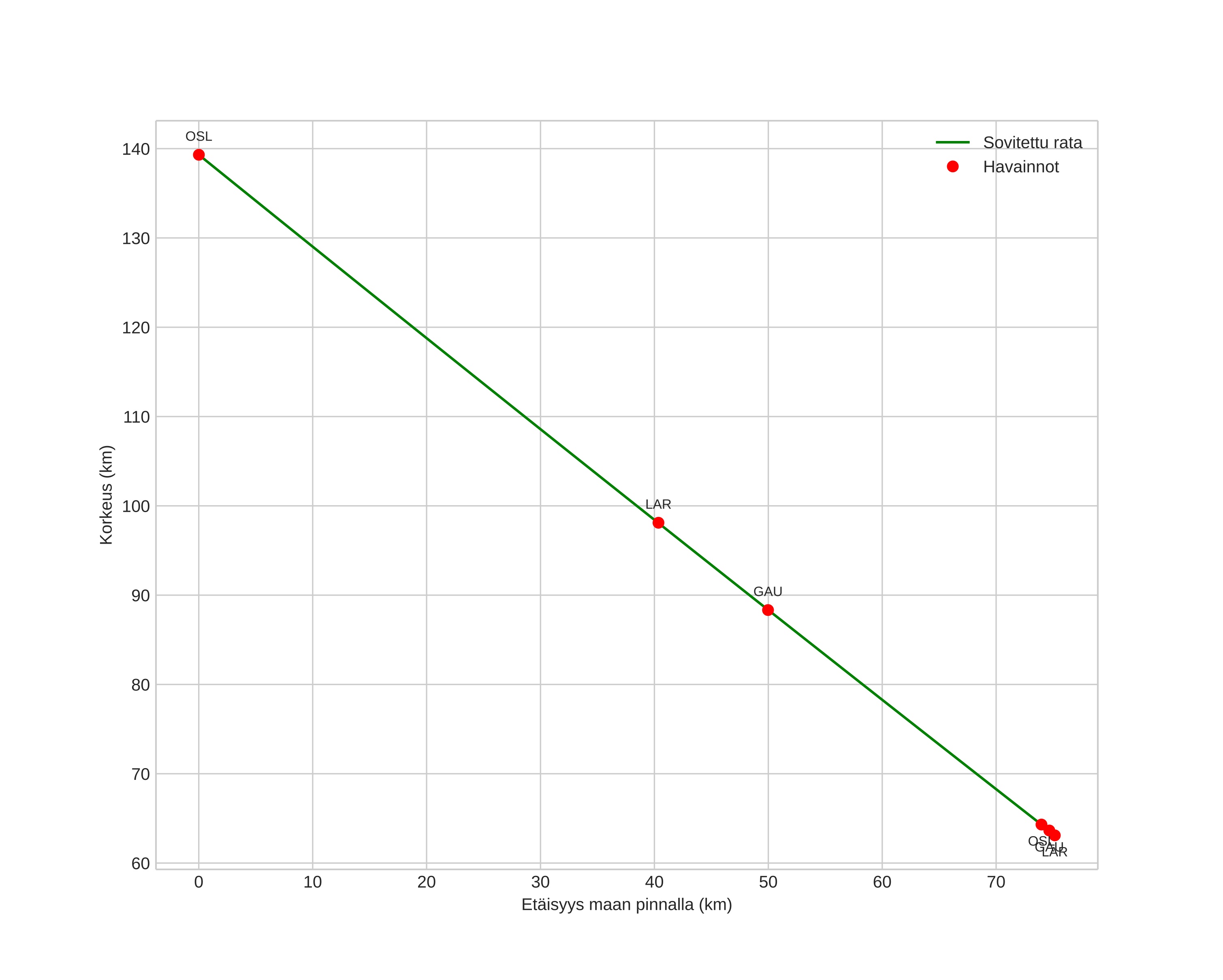
height profile
Meteorin ilmakehärata:
Alkukorkeus: 140,8 km
Loppukorkeus: 63,3 km
Alkupiste: 58,498N 11,677E
Loppupiste: 59,135N 11,153E
Suunta: 337,1°
Kallistuskulma: 45,2°
Tulonopeus: 32,0 km/s
Radiantin R,A,: 03:30 (52,5°)
Radiantin Dekl,: 13,8°
Meteoriparvi: Eteläiset tauridit
Meteoroidin rataelementit:
Perihelietäisyys: 0,322 AU
Eksentrisyys: 0,862
Inklinaatio: 6,5°
Nousevan solmun pituus: 40,2°
Perihelin argumentti: 117,4°
Keskianomalia: 348,6°
Epookki: 2022 NOV 02 22:50:48
orbit plot

Ei-interaktiivinen kuvaaja | Interaktiivinen kuvaaja

position vs time
speed and acceleration