🇳🇴 🇬🇧 🇩🇪 🇨🇿 🇫🇮

Meteor, poloha: Bogen 2022-11-03 02:05:25 UTC

Soubor KML  |  InteraktivnĂ­ mapa

Mapa zobrazuje dráhy meteoru. Světlejší čáry ukazují směry od pozorovacích stanic při objevení se meteoru a tmavší čáry, kde byl naposledy viděn. Modrá šipka značí viditelnou dráhu meteoru.

static map
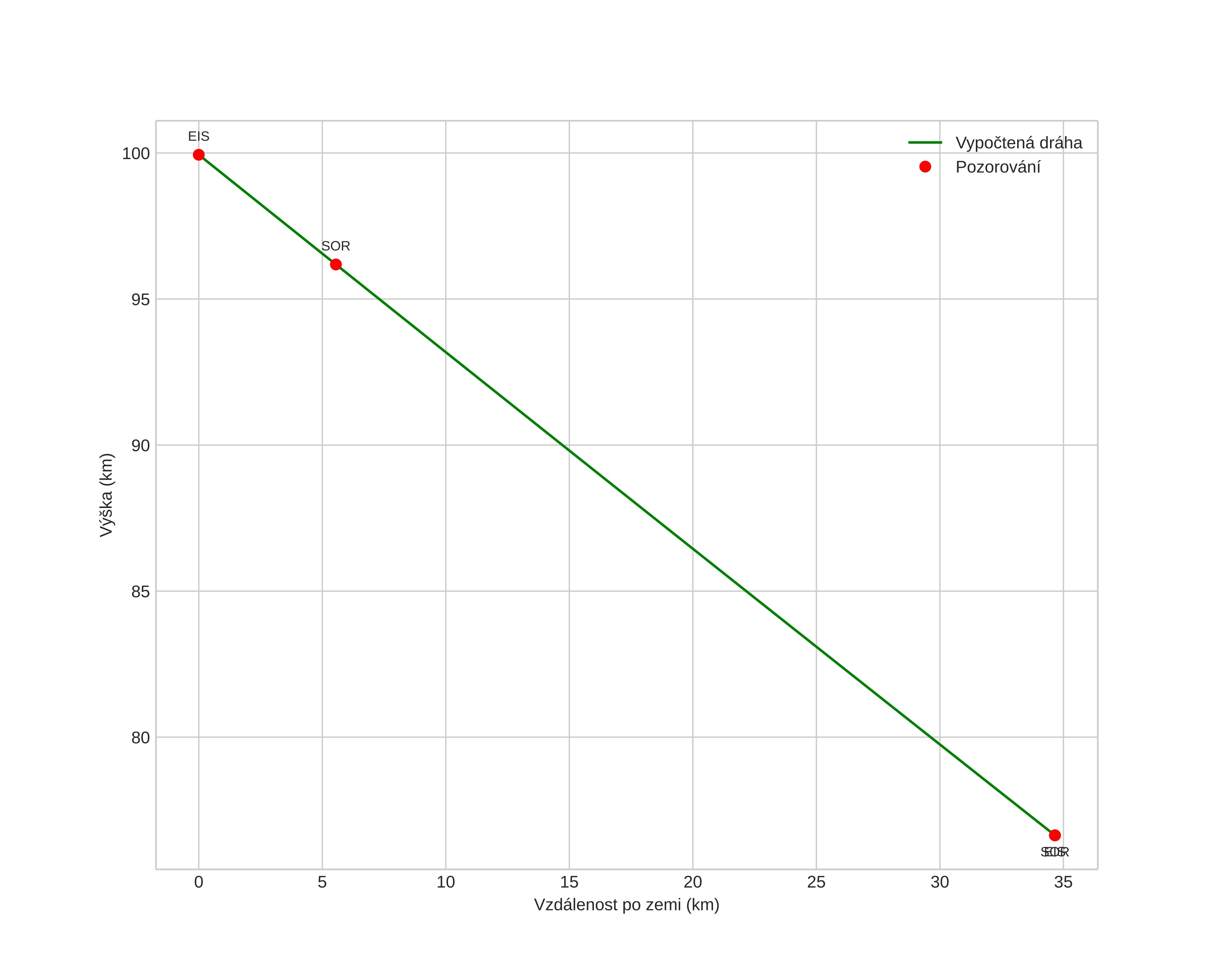
height profile
Atmosférická dráha meteoru:
Počáteční výška: 103,3 km
Konečná výška: 76,1 km
Počáteční poloha: 67,846N 16,383E
Konečná poloha: 68,119N 17,034E
Směr: 41,5°
Sklon: 33,7°
VstupnĂ­ rychlost: 37,8 km/s
Rektascenze radiantu: 03:36 (54,1°)
Deklinace radiantu: 14,7°
MeteorickĂ˝ roj: sporadickĂ˝
Elementy dráhy meteoroidu:
Vzdálenost v periheliu: 0,245 AU
Excentricita: 0,971
Sklon dráhy: 7,8°
Délka vzestupného uzlu: 40,3°
Argument perihelia: 121,9°
Střední anomálie: 358,5°
Epocha: 2022 NOV 03 02:05:25
orbit plot

NeinteraktivnĂ­ graf | InteraktivnĂ­ graf

position vs time
speed and acceleration