🇳🇴 🇬🇧 🇩🇪 🇨🇿 🇫🇮

Meteor Bogenin yllä 2022-11-03 02:05:25 UTC

KML-tiedosto  |  Interaktiivinen kartta

Kartta näyttää meteorin suuntahavainnot. Vaaleammat viivat näyttävät suunnat havaintoasemilta meteorin ilmestyessä, ja tummemmat viivat näyttävät, missä se viimeksi nähtiin. Sininen nuoli näyttää meteorin näkyvän lennon.

static map
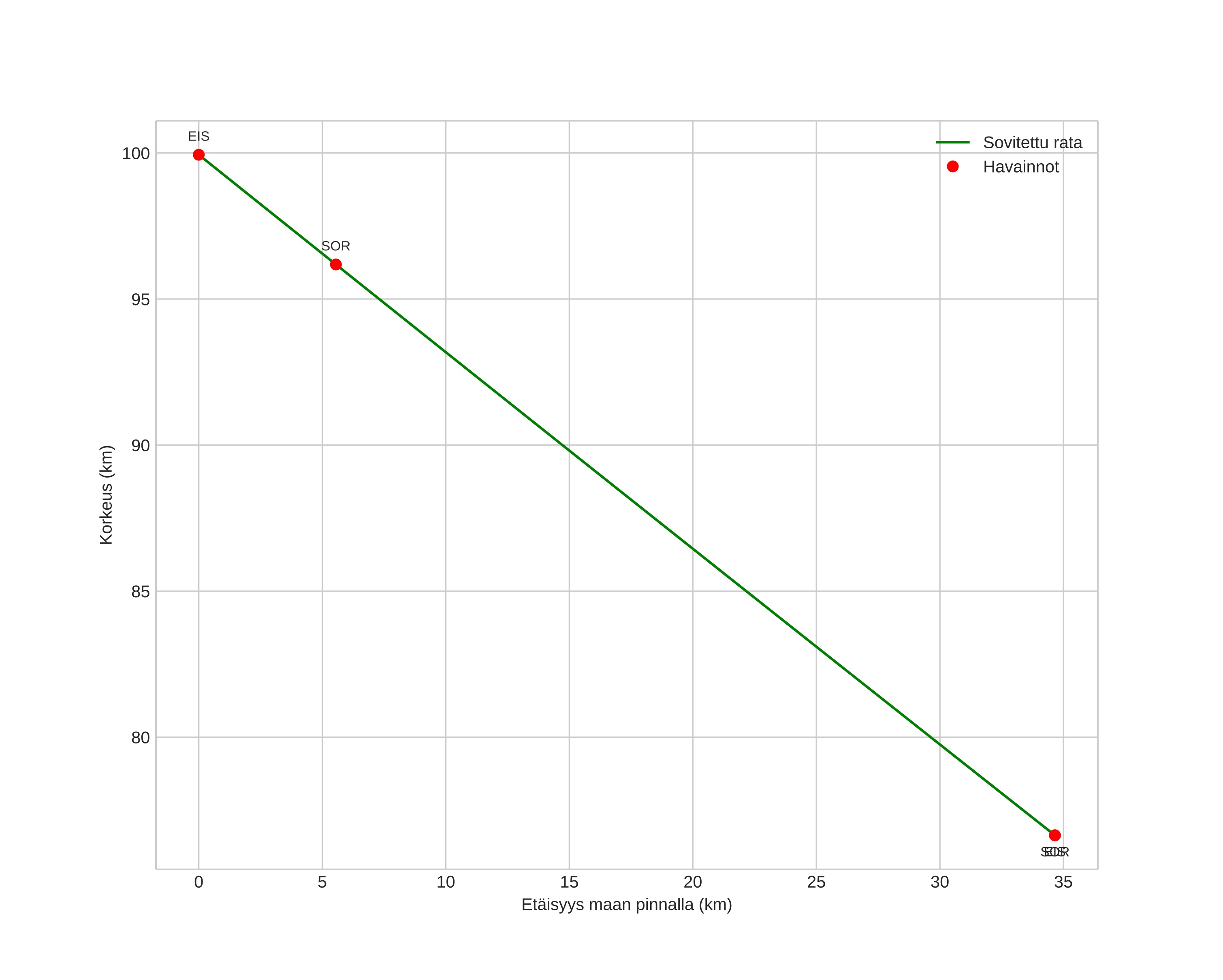
height profile
Meteorin ilmakehärata:
Alkukorkeus: 103,3 km
Loppukorkeus: 76,1 km
Alkupiste: 67,846N 16,383E
Loppupiste: 68,119N 17,034E
Suunta: 41,5°
Kallistuskulma: 33,7°
Tulonopeus: 37,8 km/s
Radiantin R,A,: 03:36 (54,1°)
Radiantin Dekl,: 14,7°
Meteoriparvi: Sporadinen
Meteoroidin rataelementit:
Perihelietäisyys: 0,245 AU
Eksentrisyys: 0,971
Inklinaatio: 7,8°
Nousevan solmun pituus: 40,3°
Perihelin argumentti: 121,9°
Keskianomalia: 358,5°
Epookki: 2022 NOV 03 02:05:25
orbit plot

Ei-interaktiivinen kuvaaja | Interaktiivinen kuvaaja

position vs time
speed and acceleration