🇳🇴 🇬🇧 🇩🇪 🇨🇿 🇫🇮

Meteor, poloha: Øksfjord 2022-11-03 05:12:45 UTC

Soubor KML  |  Interaktivní mapa

Mapa zobrazuje dráhy meteoru. Světlejší čáry ukazují směry od pozorovacích stanic při objevení se meteoru a tmavší čáry, kde byl naposledy viděn. Modrá šipka značí viditelnou dráhu meteoru.

static map
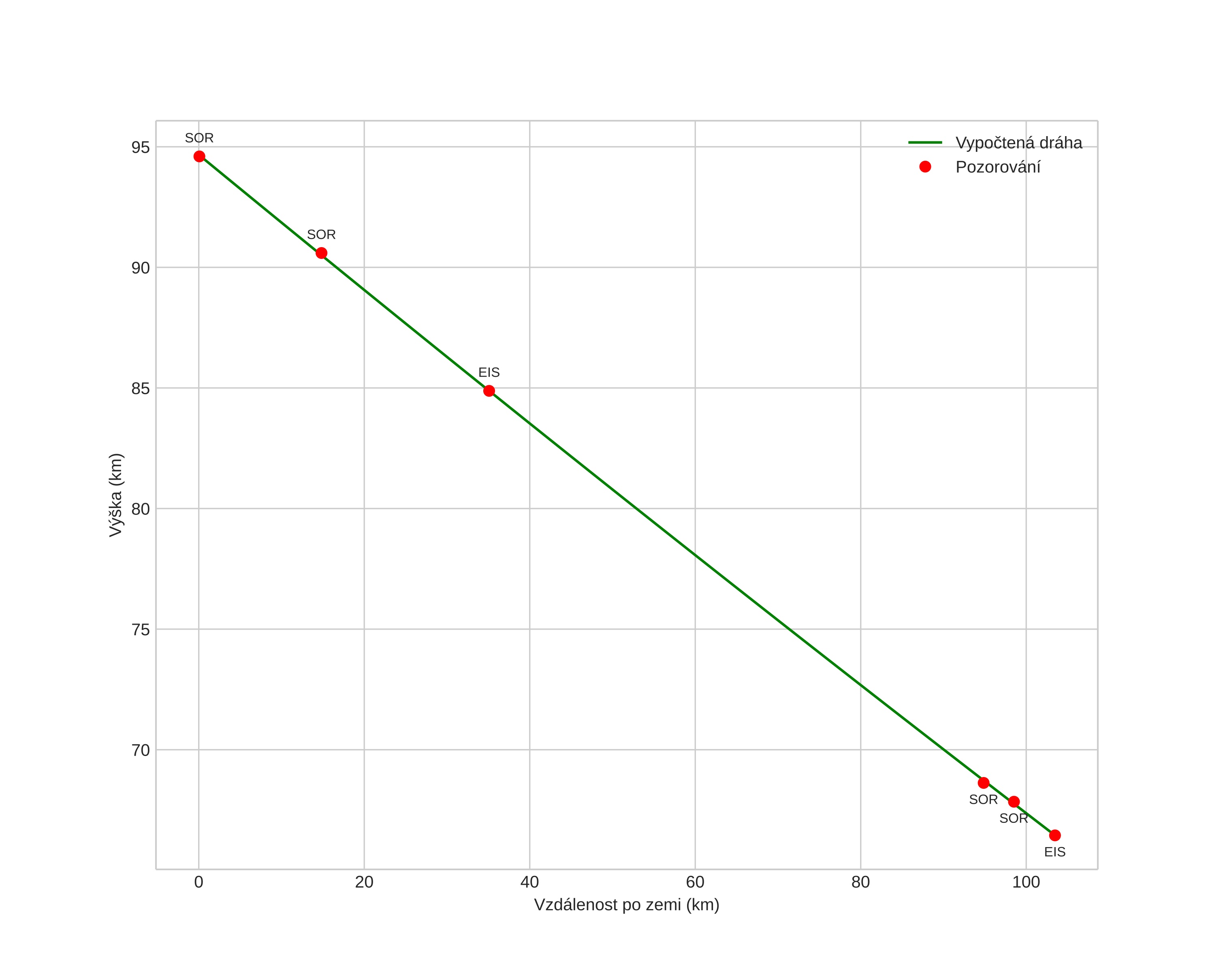
height profile
Atmosférická dráha meteoru:
Počáteční výška: 95,4 km
Konečná výška: 65,9 km
Počáteční poloha: 70,095N 19,732E
Konečná poloha: 70,058N 22,411E
Směr: 91,1°
Sklon: 16,2°
Vstupní rychlost: 31,7 km/s
Rektascenze radiantu: 03:34 (53,6°)
Deklinace radiantu: 12,8°
Meteorický roj: Jižní Tauridy
Elementy dráhy meteoroidu:
Vzdálenost v periheliu: 0,318 AU
Excentricita: 0,856
Sklon dráhy: 8,1°
Délka vzestupného uzlu: 40,5°
Argument perihelia: 118,2°
Střední anomálie: 347,7°
Epocha: 2022 NOV 03 05:12:45
orbit plot

Neinteraktivní graf | Interaktivní graf

position vs time
speed and acceleration