🇳🇴 🇬🇧 🇩🇪 🇨🇿 🇫🇮

Meteor über Øksfjord 2022-11-03 05:12:45 UTC

KML-Datei  |  Interaktive Karte

Die Karte zeigt die Peilungen für den Meteor. Die helleren Linien zeigen die Richtungen von den Beobachtungsorten beim Erscheinen des Meteors, und die dunkleren Linien, wo er zuletzt gesehen wurde. Der blaue Pfeil zeigt die sichtbare Bahn des Meteors.

static map
height profile
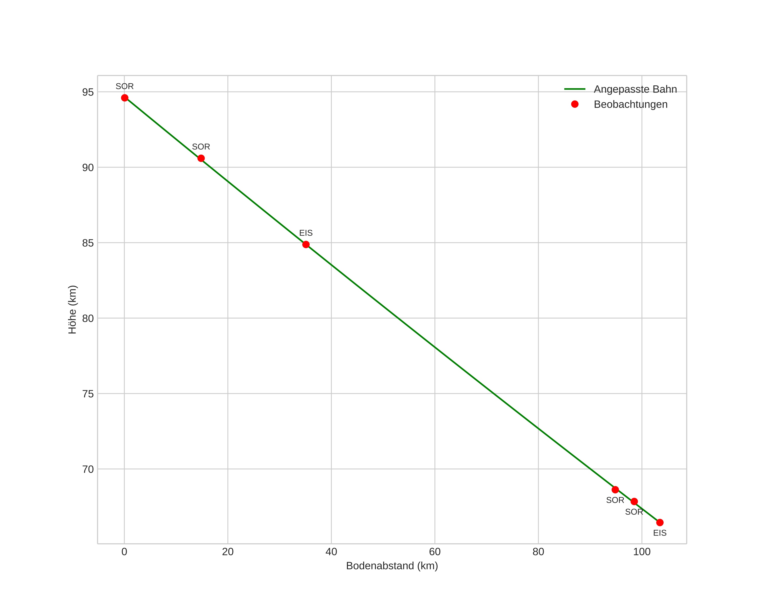
Atmosphärische Bahn des Meteors:
Anfangshöhe: 95,4 km
Endhöhe: 65,9 km
Startposition: 70,095N 19,732E
Endposition: 70,058N 22,411E
Richtung: 91,1°
Neigungswinkel: 16,2°
Eintrittsgeschwindigkeit: 31,7 km/s
Rektaszension des Radianten: 03:34 (53,6°)
Deklination des Radianten: 12,8°
Meteorstrom: Südliche Tauriden
Bahnelemente des Meteoroiden:
Periheldistanz: 0,318 AU
Exzentrizität: 0,856
Inklination: 8,1°
Länge des aufsteigenden Knotens: 40,5°
Argument des Perihels: 118,2°
Mittlere Anomalie: 347,7°
Epoche: 2022 NOV 03 05:12:45
orbit plot

Nicht-interaktives Diagramm | Interaktives Diagramm

position vs time
speed and acceleration