🇳🇴 🇬🇧 🇩🇪 🇨🇿 🇫🇮

Meteor, poloha: Hansnes 2022-11-03 18:14:15 UTC

Soubor KML  |  InteraktivnĂ­ mapa

Mapa zobrazuje dráhy meteoru. Světlejší čáry ukazují směry od pozorovacích stanic při objevení se meteoru a tmavší čáry, kde byl naposledy viděn. Modrá šipka značí viditelnou dráhu meteoru.

static map
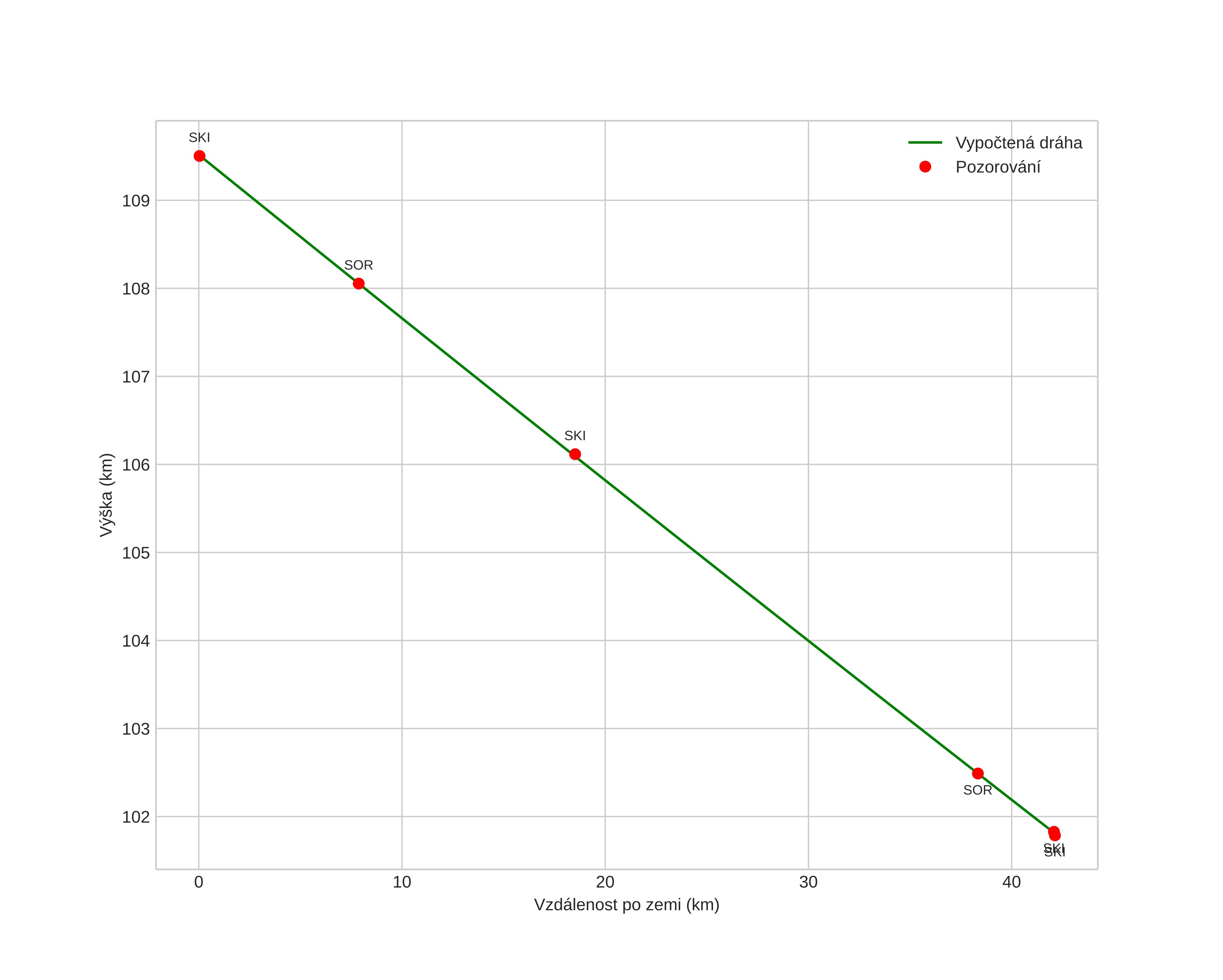
height profile
Atmosférická dráha meteoru:
Počáteční výška: 109,5 km
Konečná výška: 101,8 km
Počáteční poloha: 70,057N 19,603E
Konečná poloha: 69,679N 19,534E
Směr: 183,6°
Sklon: 10,4°
VstupnĂ­ rychlost: 68,3 km/s
Rektascenze radiantu: 10:07 (151,8°)
Deklinace radiantu: 29,7°
MeteorickĂ˝ roj: sporadickĂ˝
Elementy dráhy meteoroidu:
Vzdálenost v periheliu: 0,881 AU
Excentricita: 0,862
Sklon dráhy: 149,2°
Délka vzestupného uzlu: 221,0°
Argument perihelia: 139,2°
Střední anomálie: 1,7°
Epocha: 2022 NOV 03 18:14:15
orbit plot

NeinteraktivnĂ­ graf | InteraktivnĂ­ graf

position vs time
speed and acceleration