🇳🇴 🇬🇧 🇩🇪 🇨🇿 🇫🇮

Meteor Hansnesin yllä 2022-11-03 18:14:15 UTC

KML-tiedosto  |  Interaktiivinen kartta

Kartta näyttää meteorin suuntahavainnot. Vaaleammat viivat näyttävät suunnat havaintoasemilta meteorin ilmestyessä, ja tummemmat viivat näyttävät, missä se viimeksi nähtiin. Sininen nuoli näyttää meteorin näkyvän lennon.

static map
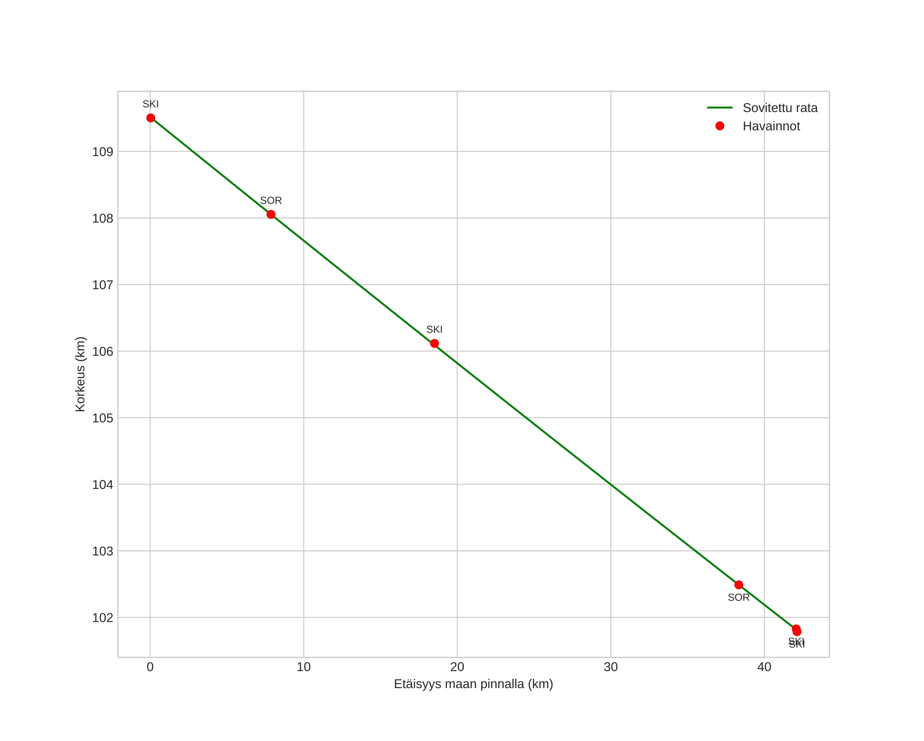
height profile
Meteorin ilmakehärata:
Alkukorkeus: 109,5 km
Loppukorkeus: 101,8 km
Alkupiste: 70,057N 19,603E
Loppupiste: 69,679N 19,534E
Suunta: 183,6°
Kallistuskulma: 10,4°
Tulonopeus: 68,3 km/s
Radiantin R,A,: 10:07 (151,8°)
Radiantin Dekl,: 29,7°
Meteoriparvi: Sporadinen
Meteoroidin rataelementit:
Perihelietäisyys: 0,881 AU
Eksentrisyys: 0,862
Inklinaatio: 149,2°
Nousevan solmun pituus: 221,0°
Perihelin argumentti: 139,2°
Keskianomalia: 1,7°
Epookki: 2022 NOV 03 18:14:15
orbit plot

Ei-interaktiivinen kuvaaja | Interaktiivinen kuvaaja

position vs time
speed and acceleration