🇳🇴 🇬🇧 🇩🇪 🇨🇿 🇫🇮

Meteor, poloha: Finnsnes 2022-11-06 16:34:56 UTC

Soubor KML  |  InteraktivnĂ­ mapa

Mapa zobrazuje dráhy meteoru. Světlejší čáry ukazují směry od pozorovacích stanic při objevení se meteoru a tmavší čáry, kde byl naposledy viděn. Modrá šipka značí viditelnou dráhu meteoru.

static map
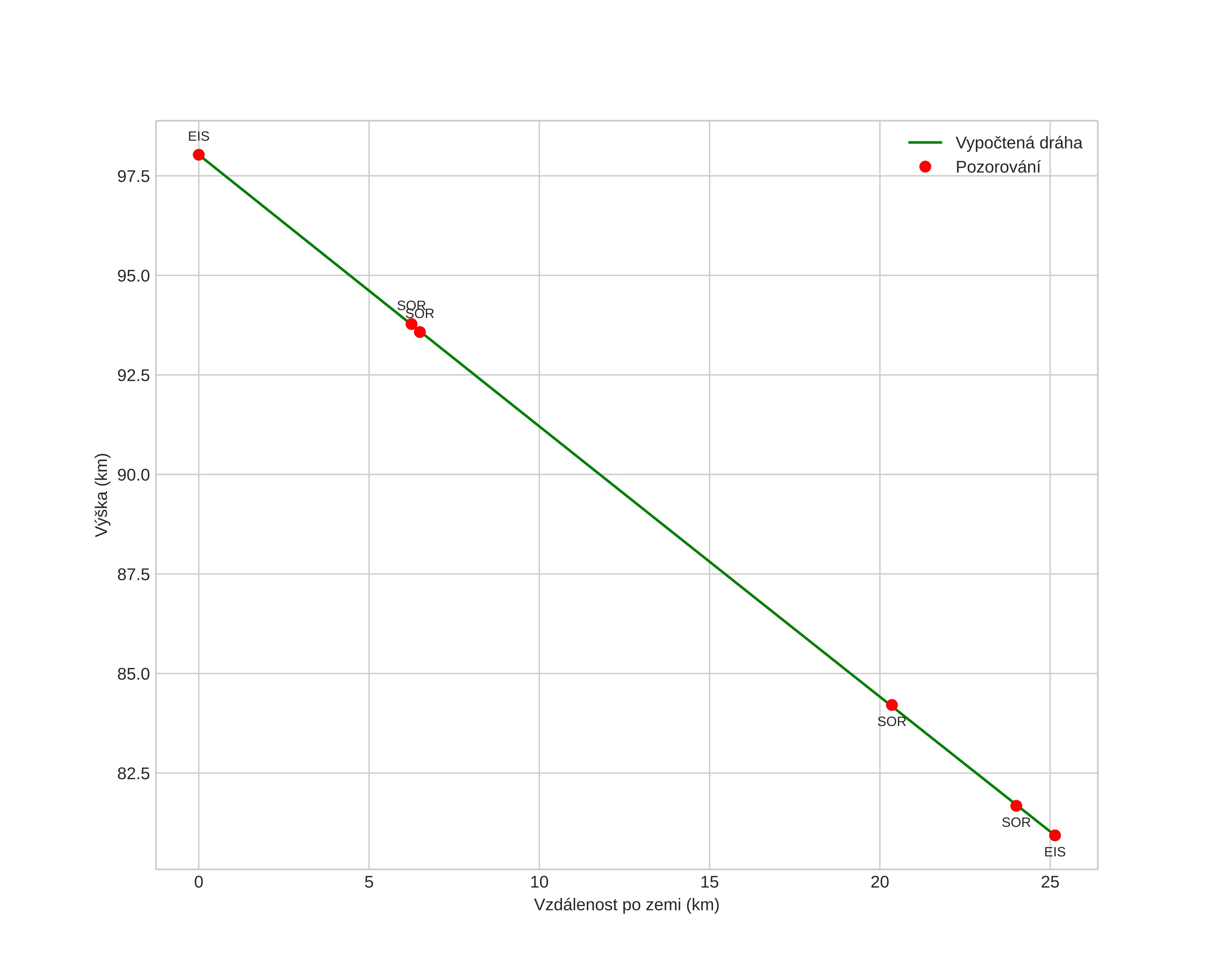
height profile
Atmosférická dráha meteoru:
Počáteční výška: 97,4 km
Konečná výška: 81,1 km
Počáteční poloha: 69,463N 18,670E
Konečná poloha: 69,498N 18,073E
Směr: 279,9°
Sklon: 34,6°
VstupnĂ­ rychlost: 22,5 km/s
Rektascenze radiantu: 01:29 (22,3°)
Deklinace radiantu: 25,0°
MeteorickĂ˝ roj: sporadickĂ˝
Elementy dráhy meteoroidu:
Vzdálenost v periheliu: 0,745 AU
Excentricita: 0,811
Sklon dráhy: 8,0°
Délka vzestupného uzlu: 223,9°
Argument perihelia: 243,6°
Střední anomálie: 355,3°
Epocha: 2022 NOV 06 16:34:56
orbit plot

NeinteraktivnĂ­ graf | InteraktivnĂ­ graf

position vs time
speed and acceleration