🇳🇴 🇬🇧 🇩🇪 🇨🇿 🇫🇮

Meteor Finnsnesin yllä 2022-11-06 16:34:56 UTC

KML-tiedosto  |  Interaktiivinen kartta

Kartta näyttää meteorin suuntahavainnot. Vaaleammat viivat näyttävät suunnat havaintoasemilta meteorin ilmestyessä, ja tummemmat viivat näyttävät, missä se viimeksi nähtiin. Sininen nuoli näyttää meteorin näkyvän lennon.

static map
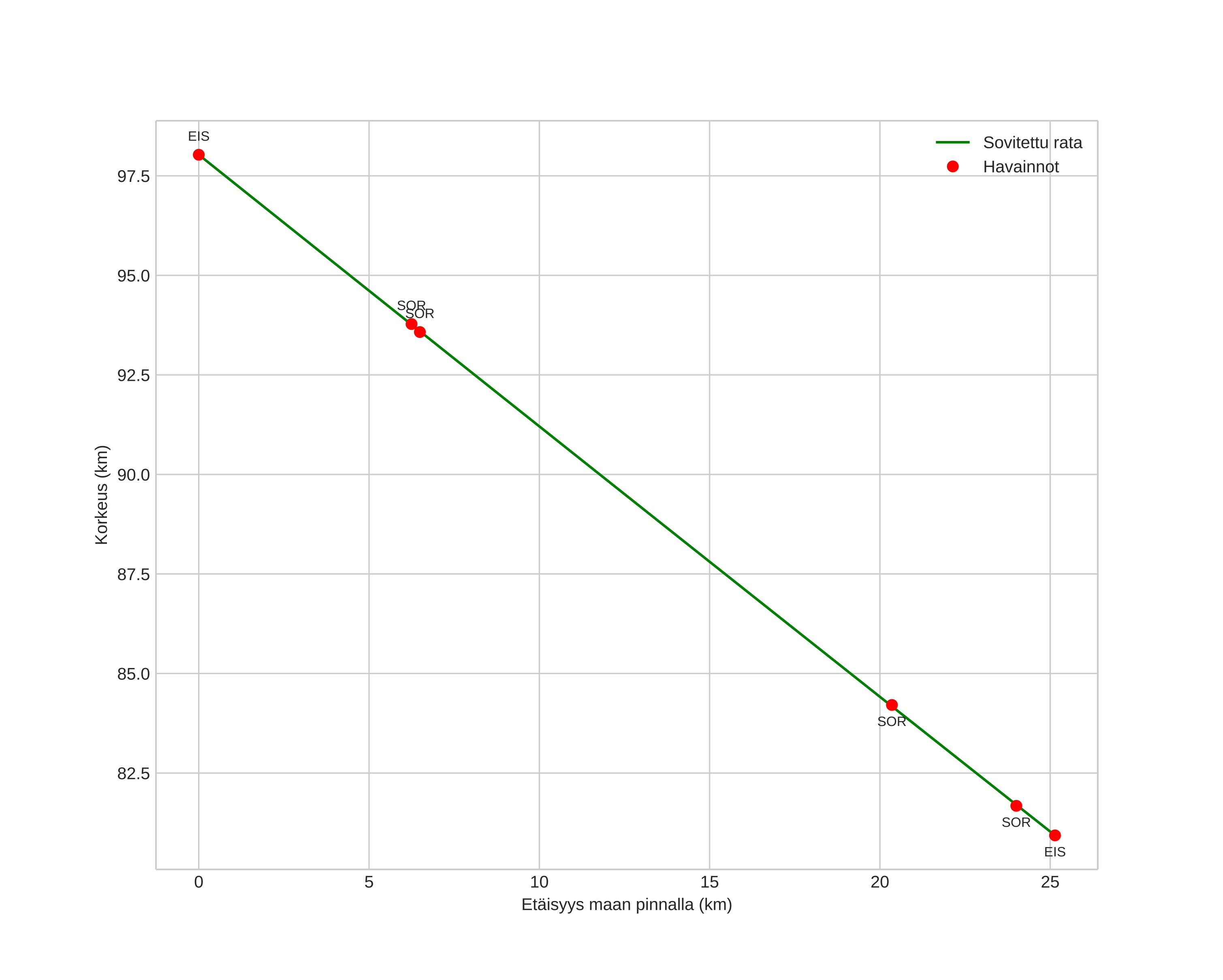
height profile
Meteorin ilmakehärata:
Alkukorkeus: 97,4 km
Loppukorkeus: 81,1 km
Alkupiste: 69,463N 18,670E
Loppupiste: 69,498N 18,073E
Suunta: 279,9°
Kallistuskulma: 34,6°
Tulonopeus: 22,5 km/s
Radiantin R,A,: 01:29 (22,3°)
Radiantin Dekl,: 25,0°
Meteoriparvi: Sporadinen
Meteoroidin rataelementit:
Perihelietäisyys: 0,745 AU
Eksentrisyys: 0,811
Inklinaatio: 8,0°
Nousevan solmun pituus: 223,9°
Perihelin argumentti: 243,6°
Keskianomalia: 355,3°
Epookki: 2022 NOV 06 16:34:56
orbit plot

Ei-interaktiivinen kuvaaja | Interaktiivinen kuvaaja

position vs time
speed and acceleration